Jika kalian pernah melihat sebuah besi yang pada awalnya normal namun berubah menjadi berkarat atau melihat perubahan warna dalam sebuah larutan yang dicampurkan maka secara tidak sadar kalian tengah melihat salah satu konsep kimia yang bernama “laju reaksi”.
Ilmu terkait kelajuan reaksi sangat bermanfaat pada dunia industri, sebab aktivitas industri memakai reaksi kimia dalam proses produksinya.
Variabel waktu, tenaga, serta biaya yang ada pada industri juga sangat berarti, oleh karena itu konsep mengenai laju reaksi yang cepat serta terkendali akan sangat menguntungkan untuk para pelaku industri tersebut.
Daftar Isi
Pengertian Laju Reaksi

Laju reaksi merupakan suatu perubahan konsentrasi dari reaktan maupun produk per satu satuan waktu.
Untuk reaksi dengan reaktan A serta B akan menghasilkan produk C dan D seperti dalam rumus persamaan reaksi di bawah ini, seiring waktu jumlah molekul reaktan A serta B akan berkurang serta jumlah molekul produk C dan juga D akan bertambah, maka rumus laju reaksi (v) menjadi:

Tanda negatif di dalam laju perubahan konsentrasi reaktan A serta B (reaktan) ditujukan supaya bernilai positif, sebagaimana laju reaksi merupakan besaran yang nilainya harus selalu positif.
Satuannya ialah M s-1 atau mol L-1 s-1.
Namun ada persamaan laju reaksi lainnya yaitu:
Untuk reaksi kimia:
aA + bB → pP + qQ
Hubungan antara laju reaksi dengan molaritas:
v = k [A]n[B]m
Keterangan:
- v = Laju reaksi
- k = Konstanta laju reaksi
- m = Orde reaksi zat A
- n = Orde reaksi zat B
Orde reaksi zat A serta zat B hanya dapat ditentukan lewat percobaan.
Teori Tumbukan

Teori tumbukan menyebutkan bahwa berbagai partikel reaktan harus saling bertumbukan agar bisa bereaksi.
Tumbukan yang terjadi antar partikel reaktan yang sukses menghasilkan reaksi disebut sebagai tumbukan efektif.
Energi minimum yang harus ada pada partikel reaktan agar bisa bertumbukan efektif disebut sebagai energi aktivasi (Ea).
Secara umum, laju reaksi akan bergantung pada beberapa hal seperti:
1. Orientasi (arah) tumbukan partikel
Dalam reaksi umumnya, partikel harus dalam orientasi yang tertentu pada saat bertumbukan supaya tumbukan yang berlangsung efektif akan menghasilkan reaksi.
Contohnya pada tumbukan yang terjadi antara molekul gas NO dengan molekul gas NO3 dalam reaksi:
NO(g) + NO3(g) → 2NO2(g)

2. Frekuensi berlangsungnya tumbukan partikel
Semakin sering adanya tumbukan partikel (frekuensi tumbukan tinggi) maka semakin besar pula peluang berlangsungnya tumbukan efektif yang mana membuat laju reaksi akan menjadi semakin cepat.
3. Energi partikel reaktan yang bertumbukan
Energi partikel reaktan yang bertumbukan harus dapat melebihi energi aktivasi, yaitu energi penghalang berlangsungnya reaksi, sehingga reaksi bisa terjadi. Jika energi kegiatannya semakin rendah, maka laju reaksinya juga akan semakin cepat.
Hukum Laju Reaksi

Pada laju reaksi, pada umumnya untuk penyebutan satuan dinyatakan sebagai mol/liter (baca: Mol per liter) atau yang juga disebut sebagai molaritas.
Molaritas merupakan suatu ukuran yang menyebutkan banyak mol zat terlarut di dalam satu liter larutannya.
Pada laju reaksi juga ada hukumnya.
Hukum laju reaksi adalah suatu persamaan yang memperlihatkan hubungan atau kaitan antara laju reaksi tertentu dengan konsentrasi pereaksinya.
Berikut adalah Hukum Laju Reaksi:
r = k [X]a[Y]b[Z]c
Keterangan:
- k = tetapan laju
- [X],[Y],[Z]= konsentrasi pereaksi
- a,b,c = orde reaksi
Jika kalian perhatikan rumus di atas, selain terdapat ketetapan laju reaksi namun juga orde reaksi.
Orde reaksi tersebut merupakan suatu pangkat molaritas di dalam persamaan laju reaksi, atau secara lebih mudah orde reaksi itu adalah tingkat reaksi suatu zat.
Orde reaksi akan menampilkan kaitan antara perubahan konsentrasi dengan perubahan laju reaksi.
Nah, di dalam hubungan antara keduanya dinyatakan dengan menggunakan sebuah grafik orde reaksi.
Terdapat tiga grafik orde reaksi, untuk lebih lanjut, simak ulasan di bawah.
Orde Reaksi & Konstanta Laju Reaksi
1. Orde Reaksi
Orde reaksi tidak ditentukan dari koefisien reaksi, melainkan dari data eksperimen. Nilai sebuah orde reaksi bisa berwujud pecahan, bilangan positif, nol, atau negatif.
Secara matematis, nilai dari orde reaksi total merupakan penjumlahan orde reaksi seluruh dari zat reaktan.
Contoh:

Berikut adalah tiga orde reaksi total lengkap dengan grafik, antara lain:
a. Orde Reaksi Total Nol

Di dalam orde reaksi nol, laju reaksi tidak akan dipengaruhi oleh konsentrasi zat (konstan).
b. Orde Reaksi Total Satu

Di dalam orde reaksi satu, pertambahan dari laju reaksi sama atau berbanding lurus dengan perubahan konsentrasi zat.
Apabila konsentrasi itu dinaikkan dua kali, maka laju reaksi juga akan dua kali lebih cepat dari awal. Begitu pula seterusnya.
c. Orde Reaksi Total Dua

Kenaikan laju reaksinya dapat sebanding, asalkan kenaikan dari konsentrasi pereaksinya pangkat dua.
Contohnya konsentrasi pereaksi dinaikkan dua kali, maka laju reaksinya akan menjadi empat kali lipat dari awalnya.
Catatan: Orde reaksi tersebut tidak dapat ditentukan dari bentuk persamaan reaksi. Orde reaksi hanya dapat ditentukan dari hasil eksperimen dengan cara mengubah variabel tekanan (khusus untuk reaksi berbentuk gas) atau molaritas nya (reaksi dengan bentuk larutan dan gas).
2. Konstanta Laju Reaksi
Konstanta laju reaksi (k) merupakan suatu tetapan yang harganya bergantung dengan jenis pereaksi, suhu, serta katalis.
Nilai konstanta laju reaksi ini berbanding terbalik dengan perubahan waktu. Semakin cepat reaksi itu terjadi, maka nilai k akan semakin besar.
Sementar itu, nilai konstanta laju reaksi berbanding lurus dengan perubahan suhu. Semakin tinggi dari suhu reaksi, maka nilai k juga akan semakin besar.
Faktor yang Mempengaruhi Laju Reaksi
Kelajuan suatu reaksi dapat dipengaruhi oleh beberapa faktor yang dijelaskan dengan memakai teori dan eksperimen, berikut informasi selengkapnya.
1. Secara Eksperimen

Secara eksperimen, berikut ada beberapa faktor yang dapat mempengaruhi laju reaksi, antara lain:
a. Variabel bebas atau manipulasi
Merupakan variabel yang bisa diubah – ubah di dalam suatu eksperimen.
Contoh:
- Ukuran keping pualam (faktor luas permukaan).
- Konsentrasi zat (faktor konsentrasi).
b. Variabel terkontrol
Merupakan variabel yang dibuat tetap di dalam seluruh eksperimen.
Contoh:
- Larutan yang diubah – ubah konsentrasinya, meski konsentrasinya berubah namun jenis larutannya tetap.
c. Variabel terikat/respons
Merupakan variabel yang dihasilkan dari kegiatan eksperimen.
Contoh:
- Dari semua eksperimen pada faktor – faktor yang dapat mempengaruhi laju reaksi, dihasilkan data berwujud laju reaksi serta lama reaksi (waktu).
2. Secara Teori

Berikut adalah beberapa faktor yang dapat mempengaruhi laju reaksi secara teori, antara lain:
a. Luas Permukaan Sentuh
Luas permukaan sentuh mempunyai peran yang amat penting, yang mana dapat menyebabkan laju reaksi semakin cepat.
Demikian juga jika semakin kecil luas permukaan suatu bidang sentuh, maka semakin kecil juga tumbukan yang terjadi antar partikel, sehingga laju reaksi juga akan semakin kecil.
Ciri dari kepingan yang direaksikan juga ikut berpengaruh. Yang mana semakin halus kepingan tersebut, maka semakin cepat juga waktu yang diperlukan untuk bereaksi. Sementara semakin kasar kepingan tersebut, maka semakin lama juga waktu yang diperlukan untuk bereaksi.
b. Konsentrasi
Sebab persamaan laju reaksi diartikan sebagai bentuk konsentrasi reaktan, maka dengan naiknya konsentrasi maka akan naik juga kecepatan reaksinya.
Hal itu berarti semakin tinggi konsentrasi, maka akan semakin banyak molekul reaktan yang tersedia.
Dengan begitu, kemungkinan terjadinya tumbukan akan semakin banyak juga yang menyebabkan kecepatan reaksi akan meningkat.
Sehingga semakin tinggi konsentrasi, maka akan semakin cepat juga laju reaksinya.
c. Suhu
Suhu pun ikut berperan pada mempengaruhi laju reaksi.
Jika suhu terhadap sebuah reaksi yang berlangsung dinaikkan, maka akan menyebabkan partikel menjadi semakin aktif bergerak, sehingga terjadinya tumbukan akan semakin sering, yang membuat laju reaksi semakin besar.
Namun sebaliknya, jika suhu diturunkan, maka partikel akan semakin tidak aktif, sehingga laju reaksi akan semakin kecil.
Suhu merupakan properti fisik dari materi yang kuantitatif mengungkapkan gagasan umum dari panas dan dingin.
d. Molaritas
Molaritas merupakan banyaknya mol zat yang terlarut pada tiap satuan volum zat pelarut.
Hubungannya dengan laju reaksi yakni jika semakin besar molaritas pada sebuah zat, maka akan semakin cepat sebuah reaksi berlangsung.
Dengan begitu, pada molaritas yang rendah sebuah reaksi akan berjalan lebih lambat dibandingkan dengan molaritas yang tinggi.
e. Katalis
Katalis merupakan sebuah zat yang dapat mempercepat laju reaksi kimia di dalam suhu tertentu, tanpa mengalami perubahan oleh reaksi itu sendiri.
Sebuah katalis memiliki peran dalam reaksi namun bukan sebagai pereaksi maupun produk. Katalis memungkinkan reaksi terjadi lebih cepat / memungkinkan reaksi dalam suhu lebih rendah akibat perubahan yang dipicunya pada pereaksi.
Katalis ini menyediakan sebuah jalur pilihan dengan energi aktivasi yang lebih rendah. Katalis dapat mengurangi energi yang diperlukan untuk terjadinya suatu reaksi.
Ada dua golongan katalis, antara lain:
- Katalis Heterogen
Merupakan katalis yang terdapat di dalam fase berbeda dengan pereaksi pada reaksi yang dikatalisnya.
Contoh katalis heterogen: Bahwa katalis menyediakan sebuah permukaan yang mana pereaksi – pereaksi (atau substrat) untuk sementara terjerat. Ikatan pada substrat – substrat akan menjadi lemah sedemikian sehingga memadai terbentuknya produk baru. Ikatan antara produk serta katalis lebih lemah, sehingga akhirnya terlepas. - Katalis Homogen
Biasanya akan bereaksi pada satu atau lebih pereaksi agar bisa membentuk sebuah perantara kimia yang kemudian bereaksi membentuk produk akhir reaksi, dalam sebuah proses yang memulihkan katalisnya.
Berikut adalah skema umum reaksi katalitik, yang mana C melambangkan katalisnya:
A + C → AC …(1)
B + AC → AB + C …(2)
Walaupun katalis (C) termakan oleh reaksi 1, tetapi selanjutnya dihasilkan kembali oleh reaksi 2, sehingga untuk reaksi keseluruhannya menjadi:
A + B + C → AB + C
Beberapa katalis yang sempat dikembangkan antara lain berwujud katalis Ziegler-Natta yang dipakai untuk produksi masal polietilen serta polipropilen.
Reaksi katalis yang paling dikenal ialah proses Haber, yakni sintesis amonia memakai besi biasa sebagai katalis.
Konverter katalitik yang bisa menghancurkan produk emisi kendaraan yang sangat sulit diatasi, terbuat dari platina serta rhodium.
Contoh Soal
Untuk memudahkan pemahaman di atas, berikut ada contoh soal yang dapat kalian pelajari, antara lain:
1. Perhatikan data pada tabel percobaan reaksi pembentukan gas H2 di bawah ini.

Tentukanlah orde reaksi, tetapan laju reaksi, dan juga laju reaksi tersebut!
Jawab:
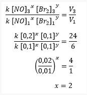
a. Tentukan Orde Reaksi pada Nitrogen Monoksida (NO)!
Guna menentukan orde reaksi terhadap zat NO, maka harus ditentukan ketika konsentrasi Br2 nya sama yakni pada percobaan 1 serta 3 pada saat Bromin mempunyai konsentrasi 0,1 M.

b. Tentukan Orde Reaksi pada Bromin (Br2)
Untuk mencari orde reaksi Bromin (Br2), maka harus ditentukan ketika konsentrasi NO nya sama yakni pada percobaan 1 & 2 saat konsentrasi Nitrogen monoksida sebesar 0,1 M.

Maka didapatkan jika orde reaksi Natrium monoksida (NO) ialah 2 serta orde reaksi bromin (Br2) ialah 1.
c. Tentukan tetapan persamaan laju reaksi Nitrosil bromida (NOBr2) dengan memakai data percobaan pertama

Sehingga tetapan persamaan laju reaksi dari pembentukan Nitrosil bromida ialah sebesar 6.000, maka bisa dihitung laju reaksinya menjadi seperti:

Sehingga dapat diketahui kecepatan laju reaksi pembentukan Bromin ialah sebesar 6 molar per detik. Yang artinya pada reaksi antara Natrium monoksida dengan Bromin, setiap satu detiknya dapat membentuk sebanyak 6 molar zat Nitrosil bromida.