Bumi diketahui mempunyai medan magnet yang fungsinya guna menahan atmosfer di tempat serta melindungi manusia dari radiasi kosmik yang berbahaya serta angin matahari.
Namun beberapa para ahli pada penelitiannya menjumpai bahwa secara berkala di dalam periode jutaan tahun, medan magnet ini terbalik sehingga Kutub Utara serta Kutub Selatan bertukar tempat.
Demikian banyaknya manfaat medan magnetik di muka bumi untuk keberlangsungan kehidupan mahluk didalamnya, lantas apa yang disebut medan magnetik itu sendiri? Simak baik – baik ulasannya di bawah ini.
Daftar Isi
Pengertian Medan Magnet

Di dalam ilmu fisika, medan magnet merupakan sebuah medan yang dibentuk dengan cara menggerakan muatan listrik (arus listrik) yang menimbulkan adanya gaya dalam muatan listrik yang bergerak lainnya.
Putaran mekanika kuantum yang berasal dari sebuah partikel akan membentuk medan magnet yang mana putaran tersebut dipengaruhi oleh dirinya sendiri seperti arus listrik, itulah yang membuat medan magnet dari feromagnetik “permanen”.
Suatu medan magnetik ialah medan vektor, yakni berkaitan dengan setiap titik pada ruang vektor yang bisa berubah menurut waktu.
Arah dari medan magnetik ialah seimbang dengan arah jarum kompas yang diletakkan pada medan tersebut.
Konsep Gaya Magnet

Kekuatan medan magnetik tergantung dengan jarak medan terhadap sebuah titik berbanding terbalik dengan kuadrat jarak dari magnet.
Kekuataan yang terjadi pada kutub magnet baik itu kutub utara ataupun selatan yang ditempatkan dalam medan magnet disebut sebagai intensitas medan magnet.
Sementara, arus – arus yang membentuk pola lengkungan di dalam medan magnetik disebut sebagai garis – garis gaya magnet / garis – garis khayal magnet yang menunjukan arah medan magnetik.
Kata magnet asalnya dari bahasa Yunani “magnitis lithos” yang artinya batu Magnesian.
Magnesian merupakan suatu nama wilayah yang ada di Yunani pada masa lalu yang sekarang bernama Manisa (sekarang ada di kawasan Turki).
Di area itu, banyak memiliki kandungan magnet yang sudah ditemukan sejak pada zaman prasejarah.
Magnet terbuat dari logam seperti baja dan besi. Magnet mempunyai beragam bentuk serta dinamakan sesuai dengan bentuknya, seperti magnet U serta magnet batang.
Penentuan kutub magnet batang bisa diketahui dengan menggunakan percobaan sederhana, seperti:
Kutub – kutub yang sama jika didekatkan akan saling menolak, sementara kutub yang berbeda jika didekatkan akan saling tarik – menarik.
Dua kutub tersebut selalu ada dalam setiap magnet meski magnet itu dipotong menjadi potongan magnet kecil.
Kekuatan gaya magnet asalnya dari interaksi antara kutub – kutub magnet yang ditimbulkan dari gerakan muatan listrik (elektron) terhadap benda.
Garis – Garis Gaya Magnet

Garis – garis gaya magnet mempunyai pola yang berbeda – beda, diantaranya yaitu:
a. Pola pada Batang Magnet Tunggal
Apabila kalian taburkan serbuk besi di sekitar magnet batang dengan seragam, serbuk besi itu akan bersifat magnet sementara sebab adanya induksi magnet.
Serbuk tersebut akan mengatur dirinya sendiri pada sepanjang garis gaya magnet.
b. Pola pada Dua Batang Magnet yang Kutubnya Berbeda
Apabila kalian tabur serbuk besi, maka serbuk besi akan menjadi magnet sementara oleh induksi serta serbuk -serbuk tersebut akan mengatur diri mereka sedemikian rupa sehingga akan bergerak dari satu kutub menuju kutub yang lain.
Yang artinya, pada saat kedua kutub berbeda saling berhadapan, maka akan mempengaruhi serbuk besi untuk saling tarik menarik.
c. Pola pada Dua Magnet dengan Kutub Sama
Apabila kalian taburkan serbuk besi pada sekitar dua buah magnet yang didekatkan serta dihadapkan dengan kutub yang sama, maka serbuk besi itu akan mengatur diri mereka sampai membentuk lengkungan yang saling mendorong.
Itu artinya, pada saat kedua kutub magnet sama saling dihadapkan, maka mereka akan saling tolak menolak.
d. Pola Garis pada Magnet U atau Tapal Kuda
Apabila kalian taburkan serbuk – serbuk besi pada sekitar magnet yang berbentuk U, maka serbuk besi tersebut menjadi magnet sementara serta akan mengatur dirinya agar berada di kawasan magnet.
Pelajari juga: Gelombang Elektromagnetik
Visualisasi Medan Magnet
Ada dua cara guna menggambarkan suatu medan magnetik, diantaranya yaitu:
1. Menggunakan Matematik sebagai Vektor
Masing – masing vektor dalam setiap titik yang bentuknya panah tersebut mempunyai arah serta besarannya tergantung dari besar gaya magnetik di dalam titik tersebut.

2. Menggunakan Garis
Setiap vektor akan disambungkan pada suatu garis yang tak terputus serta banyaknya garis bisa dibuat sebanyak mungkin.
Cara ini menjadi cara yang paling sering digunakan guna menggambarkan sebuah medan magnetik.

Garis – garis gaya magnet mempunyai beberapa sifat seperti berikut ini:
- Medan magnet selalu mempunyai arah dari kutub Utara (North) menuju Selatan (South).
- Setiap garis tidak akan pernah berpotongan antara satu sama lain.
- Garis – garis magnet tidak bermulai maupun berhenti dari mana pun, melainkan garis tersebut akan membentuk sebuah lingkaran tertutup serta tetap menyambung pada material magnet.
- Garis akan semakin rapat di area yang nilai medan magnetnya semakin besar.
- Garis magnet bisa divisualisasikan secara nyata.
Cara paling sederhana dengan menyebar bubuk pasir besi di area magnet dan kemudian bubuk pasir besi tersebut menghasilkan karakteristik yang sama seperti dengan garis – garis medan magnetik.

Sifat Magnet

Sifat magnet dibagi menjadi dua, yaitu sifat magnet itu sendiri dan sifat bahan terhadap magnet, berikut penjelasan selengkapnya.
1. Sifat Magnet
- Kutub magnet yang sejenis akan saling tolak. Dan begitu juga sebaliknya, kutub yang berlainan akan saling tarik.
- Magnet hanya dapat menarik benda yang mempunyai sifat magnet yang berada di sekitarnya.
- Magnet memiliki dua kutub, yaitu kutub utara serta kutub selatan.
- Sifat kemagnetan busa dihilangkan maupun dilemahkan.
- Medan magnetik dapat membentuk gaya magnet.
- Gaya magnet bisa menembus benda.
2. Sifat Magnet Bahan
Dilihat dari sifat interaksi bahan pada magnet, maka sifat benda dapat dikelompokan menjadi tiga kategori, antara lain:
a. Bahan Magnetik
Bahan – bahan yang bisa ditarik oleh magnet adalah bahan magnetik.
Contoh: Nikel.
b. Bahan Non Magnetik
Berbagai bahan yang tidak bisa ditarik oleh magnet disebut sebagai bahan nonmagnetik.
Contoh: Kayu, kertas, plastik, dan karet.
c. Paramagnetik
Berbagai benda yang ditarik lemah oleh magnet masuk ke dalam kategori benda paramagnetik.
Contoh: Magnesium, molibdenum, serta lithium.
d. Faromagnetik
Beragam benda yang bisa ditarik kuat oleh magnet masuk ke dalam kelompok faromagnetik.
Contoh: Baja, besi, kobalt, serta nikel.
e. Diamagnetik
Beberapa benda yang tidak bisa ditarik oleh magnet adalah benda diamagnetik.
Contoh: Perak, tembaga, emas, serta bismut.
Percobaan Medan Magnet
Berikut ada dua eksperimen medan magnet yang paling populer, antara lain:
1. Eksperimen Oersted

Di tahun 1819, seorang ilmuwan asal Denmark yang bernama Hans Cristian melakukan percobaan dengan memakai kompas serta kawat konduktor.
Percobaan tersebut membuat arus listrik yang melalui sebuah kawat konduktor mengalami pembelokan jarum kompas ketika kawat berarus tersebut didekatkan dengan jarum kompas.
Arus mengalir lewat sepotong kawat membentuk sebuah medan magnet (M) disekeliling kawat.
Medan itu terorientasi menurut aturan tangan kanan, tetapi dengan perbedaan bentuk dari kawat yang dialiri arus listrik, maka arahnya akan berbeda dengan medan magnetnya, berikut penjelasannya:
a. Medan Magnet oleh Kawat Lurus
Arah dari medan magnetik terhadap kawat lurus berarus bisa ditentukan dengan memakai kaidah tangan kanan.
Pada pemakaian kaidah tangan kanan tersebut, maka genggam kawat berarus dengan menggunakan tangan kanan, sehingga ibu jari akan menunjukan arah arus listrik, sehingga arah putaran keempat jari lain akan menunjukan arah medan magnetik.
b. Medan Magnet oleh Kawat Melingkar
Arah dari medan magnet terhadap kawat melingkar juga bisa ditentukan dengan memakai kaidah tangan kanan.
Kalian dapat memakai keempat jari yang ada pada tangan kanan sebagai arah arus terhadap kawat, sehingga ibu jari akan menunjukan arah dari medan magnetik.
c. Medan Magnet pada Solenoida
Solenoida merupakan lilitan kawat yang bentuknya helix.
Pada bagian solenoida ada sejumlah lilitan yang mana medan magnet seragam bisa dibuat pada saat dialiri oleh arus listrik.
Adapun medan magnetik di dalam solenoida juga bergantung dengan: Jumlah arus yang mengalir, jumlah lilitan, serta sifat inti dalam solenoida.
2. Eksperimen Faraday & Henry

Dua orang ilmuwan asal Inggris dan Amerika yang bernama Michael Faraday dan Josep Henry sudah melakukan eksperimen terkait induksi elektromagnetik.
Keduanya menemukan adanya fakta hika perubahan di dalam medan magnetik akan menghasilkan induksi arus listrik.
Pengukuran & Rumus Medan Magnet
Sebab medan magnet adalah besaran vektor, maka ada dua aspek yang digunakan untuk mengukur medan magnetik, yakni besar dan arahnya.
Guna mengukur arahnya, kalian bisa memakai kompas magnet.
Apabila kompas magnet diletakkan pada area medan magnetik, maka arah jarum kompas nantinya akan mengikuti arah medan magnet pada titik tersebut.
Di dalam rumus medan magnetik, besaran medan magnetik akan dituliskan dengan menggunakan simbol B.
Sesuai dengan sistem Internasional, besarnya mempunyai satuan dalam tesla (T) yang diambil dari nama Nikola Tesla.
Tesla diartikan sebagai seberapa besar gaya medan magnetik tersebut.
Conoth: Sebuah kulkas kecil yang dapat memproduksi medan magnetik sebesar 0,001 T.
Ada sebuah cara untuk membuat medan magnetik tanpa memakai magnet, yaitu dengan cara mengalirkan arus listrik.
Apabila kalian alirkan arus listrik lewat kabel (contohnya dengan cara menyambungkannya ke baterai), maka kalian akan memperoleh dua kejadian berbeda.
Semakin besar arus yang mengalir di dalam kabel, maka akan semakin besar juga medan magnetik yang dihasilkan. Demikian juga sebaliknya.
Sesuai dengan hukum Ampere, besar medan magnetik yang dihasilkan bisa dihitung dengan menggunakan rumus:
Rumus Medan Magnet
![]()
Dimana I merupakan besar arus listrik, r jarak dari kabel, serta π0 adalah konstanta permeabilitas (π0 = 4π x 10-7Tm/A).
Rumus Besar Arus Listrik
I = B 2πr/ μ
Keterangan:
- B = Besar medan magnet (T).
- μ = Konstanta permeabilitas (4π 10-7 Tm/A).
- I = Arus listrik (A).
- r = Jarak dari kabel (m).
Untuk mengetahui arahnya, kalian bisa memakai prinsip tangan kanan. Ibu jari adalah arah aliran listrik serta jari -jari lainnya akan menunjukkan arah medan magnetik disekitar kabel.


Arah ibu jari mengarah menuju atas menyatakan arah alur listrik dengan simbol i. Sementara untuk arah empat jari -jari lainnya menyatakan arah medan magnetik dengan menggunakan simbol B. Gambar di atas pada posisi horizontal dan juga vertikal.
Contoh Soal
Berikut adalah contoh soal yang berkaitan dengan medan magnet, antara lain:
1. Perhatikan gambar di bawah ini!

Suatu kabel dialirkan arus listrik yang ditempatkan pada dekat kompas magnet. Berapa besar arus listrik dan arahnya yang diperlukan guna menghilangkan medan magnetik bumi pada kompas sehingga kompas menjadi tidak berfungsi?
Jawab:
(Medan magnet bumi diibaratkan sebesar 5 x 10-5 T)
Pembahasan:
Dengan memakai rumus medan magnet:
![]()
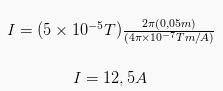
Maka bisa dicari besar arus listrik yaitu:
![]()
Diketahui jika jarak r dari kompas menuju kabel sebesar 0,05 m. Maka didapatkan:

Dengan memakai kaidah tangan kanan, kalian harus menempatkan ibu jari ke bawah agar jari – jari yang lain mempunyai arah yang berlawanan dengan medan magnetik kompas. Sehingga arah arus harus dapat menembus menuju kertas atau layar (menjauhi).
2. Berdasarkan soal pada nomor satu, apabila diketahui jika arus yang bisa dialirkan lewat kabel hanya sebesar 1,25 A. Hitunglah besar jarak r untuk tetap menghilangkan medan magnetik bumi pada kompas!
Jawab:
Dengan memakai rumus medan magnet:
![]()
Maka bisa dicari jarak r yaitu:
![]()
Dari persamaan di atas, maka dapat diketahui jika besar arus listrik I sebanding dengan jarak r. Sehingga apabila arus listriknya diperkecil menjadi 1/10 (sepersepuluh) dari sebelumnya, maka besar jarak r juga akan mengecil 1/10 (sepersepuluh) dari besar sebelumnya.
Maka dapat diketahui, jarak r sebesar 0,005 m / 5 mm.
3. Perhatikan gambar di bawah ini!

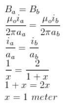
Kawat A serta B terpisah sejauh 1 m kemudian dialiri arus listrik berturut – turut 1 A dan juga 2 A dengan arah seperti ditunjukkan pada gambar di atas.
Tentukan letak titik C yang mana kuat medan magnetnya ialah sebesar NOL!
Jawab:

Supaya kuat medan nol, maka kuat medan yang dihasilkan dari kawat A dan kawat B harus berlawanan arah serta sama besar.
Posisi yang mungkin yaitu ada pada sebelah kiri kawat A maupun ada pada sebelah kanan kawat B. Mana yang harus di ambil, kalian ambil titik yang lebih dekat menuju kuat arus lebih kecil.
Sehingga posisinya iaah disebelah kiri kawat A yang dapat kalian beri nama jaraknya sebagai x.
4. Perhatikan gambar di bawah ini!

Tentukan besar serta arah kuat medan magnet pada titik P!
Jawab:
Arus A akan menghasilkan medan magnet yang ada di titik P dengan arah masuk bidang, sedangkan arus B akan menghasilkan medan magnet dengan arah keluar bidang.

Arah sesuai Ba yakni masuk bidang.
5. Perhatikan gambar di bawah ini!

Seutas kawat dialiri arus listrik i = 4 A, maka tentukan:
A. Kuat medan magnet di titik A
B. Kuat medan magnet di titik B
C. Arah medan magnet di titik A
D. Arah medan magnet di titik B
Jawab:
Diketahui:
- I = 4 A
- rA = 2m
- rB = 1m
Penyelesaian:
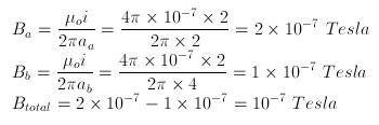
A. Kuat medan magnet di titik A
B = μ I / 2 π rA
= 4 π 10-7 4 / 2 π 2
= 4 10-7 T
Sehingga medan magnet di titik A yaitu 4 10-7 T
B. Kuat medan magnet di titik B
B = μ I / 2 π rB
B = 4 π 10-7 4 / 2 π 1
B = 8 10-7 T
Sehingga medan magnet di titik B yaitu 8 10-7 T
C. Arah medan magnet di titik A
Pada soal yang menanyakan ara, kalian bisa memakai aturan tangan kanan, yang mana ibu jari diibaratkan sebagai arus serta empat jari lainnya menjadi medan magnetik dengan posisi menggenggam kawat pada titik A.
Sehingga dapat diketahui, arah medan magnetik di titik A yaitu ke luar /mendekati pembaca.
D. Arah medan magnet di titik B
Seperti cara pada opsi C, kalian dapat memakai aturan tangan kanan namun dengan fokus pada titik B. Sehingga arah medan magnetik di titik B yaitu ke dalam / menjauhi pembaca.