Di dalam pelajaran fisika, nantinya kalian akan mempelajari materi listrik arus searah dalam sebuah rangkaian, guna memahaminya, terdapat beberapa hukum yang harus kalian ketahui, salah satunya ialah hukum Ohm.
Daftar Isi
Pengertian Hukum Ohm

Hukum ohm merupakan suatu formula atau rumus yang menyatakan hubungan diantara tegangan, arus listrik serta hambatan dalam sebuah rangkaian listrik.
Bunyi hukum ohm yakni:
Kuat arus listrik di dalam rangkaian berbanding lurus dengan tegangan yang ada pada ujung – ujung rangkaian serta berbanding terbalik dengan hambatan.
Artinya, semakin besar beda potensial, maka semakin besar pula arus yang mengalir. Sebaliknya, apabila beda potensial yang diberikan diperkecil, maka semakin kecil pula arus yang mengalir.
Seperti namanya, hukum satu ini ditemukan oleh seorang fisikawan asal Jerman yang bernama Georg Simon Ohm (1787-1854).
Beliau mempublikasi karyanya di tahun 1827 dengan judul “The Galvanic Circuit Investigated Mathematically”.
Penerapan hukum satu ini sangat luas di dalam kehidupan sehari-hari, khususnya yang berhubungan dengan perangkat yang ada pada rangkaian elektroniknya seperti Kipas Angin, TV, Kulkas dan yang lainnya.
Bahkan, hukum satu ini juga telah menjadi dasar untuk seluruh rangkaian listrik.
Maka dari itu, pembahasan terkait rangkaian listrik tidak lepas dari adanya Hukum Ohm.
Rumus Hukum Ohm
Terdapat tiga relasi variabel yang terkandung di dalam hukum ohm, diantaranya seperti: Tegangan, Kuat Arus serta Hambatan.
Masing – masing variabel tersebut mempunyai simbol yang berbeda, yaitu:
- V = Tegangan listrik yang diukur dengan satuan Volt (V).
- R = Hambatan rangkaian dengan satuan Ohm (Ω).
- I = Kuat arus dengan satuan Ampere (A).
Secara matematis, hukum ohm dapat dinyatakan seperti yang ada di bawah ini:

Sesuai dengan bunyi hukum ohm di atas, untuk menghitung besar voltase listrik maka memakai persamaan atau rumus:
V= I x R
Sementara untuk menghitung kuat arus listrik menggunakan persamaan atau rumus:
I = V/R
Dan untuk menghitung hambatan dapat menggunakan rumus di atas kembali hingga menjadi:
R = V/I
Untuk memudahkan memahami dan mengingat rumus hukum tersebut, digunakan ilustrasi dengan rumus bangun segitiga sebagai berikut.
Untuk memudahkan kalian dalam mengingat hukum ohm, kalian cukup menutup salah satu variabel yang hendak kalian cari.
Sebagai contohnya, jika kalian hendak mencari tegangan listrik, maka kalian tutup huruf V di segitiga di atas, sehingga akan diperoleh tegangan listrik = IR.
Cara yang sama juga kalian lakukan untuk menghitung nilai dari I ataupun R.

Keterbatasan Hukum Ohm
Di dalam hukum ohm juga mempunyai suatu keterbatasan. Hukum satu ini sudah diturunkan dengan asumsi jika hambatan tak tergantung pada arus.
Sehingga, resistansi atau hambatan selalu tetap serta tidak tergantung dengan arus (I).
Yang artinya, hukum ohm tersebut tidak berlaku untuk materi semikonduktor, fluida, ataupun isolator.
Material yang tak memenuhi hukum ohm disebut dengan material non-Ohmik.
Berikut merupakan grafik arus serta beda potensial untuk material non-Ohmik.

Rangkaian Listrik

Rangkaian listrik merupakan suatu lintasan listrik yang dilalui dari sumber daya serta kembali lagi.
Seluruh bagian dari rangkaian sederhana harus dapat menghantarkan listrik serta berkaitan antara satu sama lain.
Terdapat dua jenis rangkaian listrik, yaitu rangkaian seri dan paralel.
Contoh rangkain seri ada pada senter, dimana seluruh komponen terhubung satu sama lain di dalamnya.
Rangkaian paralel mempunyai baterai atau komponen lain yang terhubung saling menyilang.
Di dalam rangkaian listrik, resistansi, tegangan, atau arus yang lewat bisa dihitung dengan menggunakan rumus hukum ohm.
Komponen yang ada pada rangkaian listrik juga masing – masing digambarkan dengan menggunakan simbol khusus yang berbeda diantara satu sama lain.
Hal tersebut bertujuan supaya komponen serta koneksi bisa digambarkan dengan jelas.
Pada diagram komponen sederhana dibawah ini, bisa kalian lihat ada beberapa simbol yang digunakan pada komponen listrik.
Gambar diagram rangkaian dibuat guna memudahkan serta menyederhanakan komponen listrik yang sesungguhnya.

Makin besar hambatan atau resistansi di dalam rangkaian, makin akan kecil arus yang mengalir. Begitu juga sebaliknya, apabila sumber daya yang diberikan besar, maka beban juga harus dapat menerima daya yang besar.
Apabila beban menerima daya di atas kemampuan, maka bisa terjadi kerusakan di dalam komponen alat (overload).
Apabila arus yang mengalir di dalam rangkaian terlalu besar untuk bisa diterima beban, maka digunakan satu komponen listrik yang bernama resistor.
Resistor adalah salah satu komponen listrik yang bisa membuat tegangan listrik menjadi turun.
Contoh Soal
Berikut adalah beberapa contoh soal yang dapat kalian pelajari untuk memudahkan kalian dalam memahami uraian di atas, antara lain:
1. Suatu rangkaian listrik mempunyai arus listrik serta hambatan seperti pada gambar di bawah ini:

Hitunglah nilai tegangan dalam rangkaian tersebut!
Jawab:
Diketahui:
- I= 5 Volt
- R= 8 Ohm
Ditanya:
I …?
Penyelesaian:
V = I R
= 5. 8
= 40 V
Sehingga dapat diketahui nilai tegangan rangkaian tersebut sebesar 40 V.
2. Diketahui nilai tegangan di dalam sebuah rangkaian sebesar 24 volt serta nilai arus yang terbaca di dalam amperemeter sebesar 10 mA. Hitunglah nilai resistansinya di dalam rangkaian listrik tersebut!
JawaB;
Diketahui:
- V = 24 Volt
- I = 10 mA.
Penyelesaian:
Pertama, semua nilai harus kalian sesuaikan terlebih dahulu sesuai dengan ketentuan standar.
Sehingga besar arusnya menjadi:
I = 10 mA = 0.01 A
Dengan memakai rumus hukum ohm, bisa langsung dicari besar resistansi dengan menggunakan rumus:
R = V/I
R = 24/0.01
R = 2.400 Ω
Sehingga diketahui resistansi di dalam rangkaian tersebut sebesar 2400 ohm / 2,4 kilo ohm.
3. Diketahui nilai tegangan pada suatu rangkaian sebesar 20 V serta nilai arus listriknya sebesar 2 A. Berapakah nilai hambatan pada rangkaian tersebut?
Jawab:
Diketahui:
- V= 20 V
- I = 2 A
Ditanya:
R …?
Penyelesaian:
R = V/I
= 20/2
= 10 Ohm
Sehingga dapat diketahui nilai hambatan rangkaian tersebut sebesar 10 Ohm.
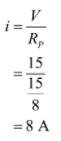
4. Dua buah hambatan sebesar 3 Ohm serta 5 Ohm dirangkai secara paralel. Kemudian hambatan tersebut dihubungkan dengan sumber tegangan 15 volt. Berapakah kuat arus listrik yang mengalir di dalam rangkaian tersebut?
Jawab:
Diketahui:
- R1 = 3 Ohm
- R2 = 5 Ohm
- V = 15 volt
Ditanya:
I =…?
Penyelesain:
Mula – mula, kalian harus mencari hambatan pengganti totalnya. Sebab hambatan dirangkai secara paralel, maka kalian dapat memakai persamaan berikut ini:

Substitusikan nilai hambatan pengganti paralel di atas dengan persamaan hukum Ohm, menjadi:

Sehingga dapat diketahui kuat arus listrik yang mengalir di dalam rangkaian tersebut sebesar 8 A.
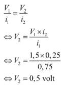
5. Pada saat arus listrik 0,75 mA mengalir di dalam sebuah hambatan, beda potensial yang terukur ialah sebesar 1,5 volt. Pada saat arus listrik yang mengalir 0,25 mA, tentukan beda potensial yang terukur di dalam hambatan tersebut!
Jawab:
Diketahui:
- I1 = 0,75 mA
- V1 = 1,5 volt
- I2 = 0,25 mA
Ditanya:
V2 …?
Penyelesaian:
Mengingat hambatan yang dipakai sama, artinya R1 = R2.
Sebab V = IR, maka R = V/I. Dengan memakai perbandingan diperoleh:

Sehingga beda potensial yang terukur ketika arusnya 0,25 mA yakni sebesar 0,5 volt.