Hukum Kekekalan Energi

Secara garis besar, hukum kekekalan energi memiliki hubungan yang erat dengan kegiatan yang kita lakukan sehari – hari.

Energi sendiri di definisikan sebagai suatu sifat tetap yang terdapat pada suatu properti fisika, seperti interaksi partikel, objek fisik, dan semua kemampuan yang dihasilkan oleh adanya partikel yang di alam semesta.

Sebab memiliki sifat yang tetap, maka energi bisa disebut kekal serta besarnya tidak berubah.

Perumus Hukum Kekekalan Energi

James Prescott Joule

Dikutip dari laman Britannica, seorang fisikawan yang bernama James Prescott Joule asal Inggris sudah merumuskan jika beragam bentuk energi pada dasarnya sama serta bersifat tetap, tetapi bisa diubah antara satu sama lain.

Atas dasar dari rumusan tersebut, kemudian ia menggagas suatu hukum yang menjadi pondasi dari teori fundamental fisika (termodinamika), yaitu Hukum Kekekalan Energi.

James Joule lahir pada tanggal 24 Desember 1818 di negara Inggris kemudian meninggal pada tanggal 11 Oktober 1889.

Beliau adalah murid dari John Dalton yang merupakan seorang ahli kimia dan juga pengajar di University of Manchester, Inggris.

Pada mulanya, Joule meneliti serta membuat studi empiris terkait panas yang dihasilkan oleh kawat listrik.

Menurut studi dan penelitian yang ia kerjakan, Joule bisa menyimpulkan ke dalam suatu tesis ilmiah jika panas adalah energi yang mana energi itu terlepas dari zat maupun objek yang dipanaskan.

Studinya itu membuka studi – studi lain yang sama – sama meneliti terkait energi yang terdapat dalam beberapa interaksi objek fisik.

James Joule bersama rekannya yang bernama William Thomson menemukan satu teori fisika yang menyebutkan apabila gas yang dibiarkan mengembang tanpa adanya intervensi partikel – partikel yang terdapat di luar gas tersebut, maka suhu gas akan turun.

Atas dasar dari penemuan tersebut, dirumuskan satu teori yang disebut Efek Joule-Thomson.

Teori itulah yang kemudian menjadi landasan diciptakannya mesin pendingin.

Pengertian Hukum Kekekalan Energi

jelaskan hukum kekekalan energi

Bunyi dari hukum kekekalan energi yakni:

Jumlah energi dari suatu sistem tertutup tidak akan berubah, ia akan tetap sama atau konstan dan akan dilestarikan dari waktu ke waktu. Energi itu tidak bisa diciptakan ataupun dimusnahkan, tetapi ia bisa berubah dari satu bentuk energi menuju bentuk energi yang lain.

Seperti yang dicatat di dalam Energy Education, satu – satunya cara untuk memakai energi dengan mengubah bentuknya, bukan menciptakan maupun menghancurkannya.

Hukum fisika satu ini juga menyimpulkan jika besaran energi akan selalu sama serta tetap walaupun bentuknya bisa berubah – ubah.

Uniknya, energi juga akan selalu terdapat di bagian mana saja di alam semesta ini serta sifatnya juga sama, tidak akan bisa diciptakan maupun dimusnahkan.

Hukum Kekekalan Energi Mekanik

Hukum Kekekalan Energi Mekanik

Hukum kekekalan energi mekanik berwujud jumlah energi kinetik dengan energi potensial.

Energi potensial merupakan suatu energi yang berada di sebuah benda sebab letak benda tersebut ada di dalam medan gaya.

Sementara untuk energi kinetik ialah energi yang disebabkan oleh adanya gerak pada sebuah benda yang mempunyai massa atau berat.

Berikut adalah penulisan rumus atau formula dari kedua energi tersebut, antara lain:

Ek = 1/2mv2
Ep = mgh

 

Keterangan:

  • EK = Energi Kinetik (Joule)
  • EP = Energi Potensial (Joule)
  • m = Massa (Kg)
  • g = gravitasi (m/s2)
  • h = tinggi benda (m)
  • v = Kecepatan (m/s)

Seluruh satuan untuk besaran energi ialah Joule (SI). Kemudian, di dalam energi potensial, usaha oleh gaya satu ini sama dengan negatif perubahan energi potensial sistem.

Di sisi lain, suatu sistem yang terjadi perubahan kecepatan, maka usaha total yang bekerja di dalam sistem tersebut sama dengan perubahan energi kinetik.

Sebab gaya bekerja hanya dengan gaya konservatif, maka usaha total di dalam sistem pun akan sama dengan negatif dari perubahan energi potensial.

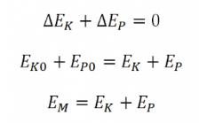
Jika kita menggabungkan dua konsep itu, maka akan muncul sebuah kondisi yang mana jumlah perubahan energi kinetik serta perubahan energi potensial sama dengan nol.

hukum kekekalan energi menyatakan bahwa

Dari persamaan kedua terlihat jika penjumlahan dari energi kinetik dengan energi potensial awal sama dengan penjumlahan energi kinetik serta potensial akhir.

Penjumlahan energi itu disebut sebagai energi mekanik.

Nilai energi mekanik satu ini selalu tetap nilai / kekal dengan syarat gaya yang bekerja di dalam sistem haruslah gaya konservatif.

Rumus Hukum Kekekalan Energi

kekekalan

Tiap total energi di dalam sistem (yaitu energi mekanik) harus selalu sama, sehingga energi mekanik sebelum serta sesudahnya mempunyai besar yang sama.

Dalam hal tersebut, maka bisa dinyatakan menjadi:

rumus hukum kekekalan energi

Contoh Hukum Kekekalan Energi

energi

Berikut ini ada ada beberapa contoh dari hukum kekekalan energi, antara lain:

1. Teko Pemanas Air

Ketika kalian sedang memakai teko pemanas air, sebetulnya kalian sedang melihat prinsip kekekalan energi.

Teko pemanas air tersebut akan mengubah energi listrik dari kabel ke dalam energi panas di element pemanas.

Elemen pemanas itulah yang kemudian akan memanaskan air sehingga energi panas akan berpindah menuju air di teko.

2. Buah diatas pohon yang jatuh

Pada saat buah terletak di atas pohon, maka buah itu akan diam. Buah tersebut akan mempunyai energi potensial sebab ketinggian buah dari tanah.

Sekarang apabila buahnya jatuh dari atas pohon, maka energi potensial akan mulai diubah ke dalam energi kinetik.

Jumlah dari energi akan tetap konstan yang mana kemudian akan menjadi energi mekanik total sistem.

Tepat sebelum buah tersebut menyentuh tanah, energi potensial total sistem akan berkurang turun menuju nol dan itu hanya akan mempunyai energi kinetik.

3. Pembangkit Listrik tenaga Hidro

Pada bendungan (dam) pembangkit listrik bertenaga hidro, air dibendung hingga meraih ketinggian (h) yang tinggi sehingga air di dalam waduk mempunyai energi potensial yang tinggi.

Air masuk dari arah pintu air melalui jalur air sampai ke turbin serta memutar turbin. Energi potensial air lalu akan berubah menjadi energi kinetik di turbin sehingga turbin berputar.

Sebab turbin berputar, maka generator juga akan ikut berputar. Energi kinetik di turbin lalu berubah menjadi energi listrik di dalam generator.

Listrik dari generator lalu dialirkan melewati kabel tegangan tinggi jarak jauh. Energi listrik inilah yang kalian nikmati sehari – hari.

4. Pembangkit Listrik Tenaga Air

Energi mekanik dari air jatuh serta air terjun dimanfaatkan untuk memutar turbin yang berada di bagian bawah air terjun.

Rotasi turbin itulah yang nanti dipakai untuk dapat menghasilkan listrik.

5. Permainan Kelereng

Pada saat bermain kelereng, energi mekanik dari jari ditransfer menuju kelereng. Hal tersebut menimbulkan kelereng bergerak serta menempuh beberapa jarak sebelum kelereng tersebut berhenti.

6. Kincir Angin

Energi kinetik dari angin menimbulkan pisau berputar. Kincir angin tersebut akan mengubah energi kinetik dari angin menjadi energi listrik.

7. Mesin Uap

Sesuai dengan namanya, mesin uap berjalan dengan menggunakan uap energi panas.

Energi panas tersebutlah yang akan diubah menjadi energi mekanik dan kemudian dimanfaatkan guna menjalankan lokomotif.

Ini juga menjadi contoh perubahan energi panas menjadi energi mekanik.

8. Pistol Panah Mainan

Pistol panah mainan mempunyai pegas yang bisa menyimpan energi elastis jika berada dalam posisi terkompresi.

Energi tersebut kemudian akan dilepaskan pada saat musim pegas merenggang, menimbulkan panah bergerak.

Sehingga akan mengubah energi elastis pegas menjadi energi kinetik anak panah yang sedang bergerak.

Contoh Soal

Untuk memudahkan kalian dalam memahami uraian di atas, berikut kami sajikan beberapa contoh soal yang berkaitan dengan hukum kekekalan energi, antara lain:

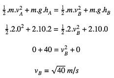
1. Apabila benda memiliki massa 2 kg bergerak dari posisi A menuju B, berapa kecepatan benda pada posisi B? (Ketinggian benda dari posisi A menuju posisi B ialah 2 m).

Jawab:

Diketahui:

  • ma = mb = 2 kg
  • va = 0 m/s
  • ha = 2 m
  • g = 10 m/s2

Ditanya:

vb …?

Penyelesaian:

EMA = EMB

penemu hukum kekekalan energi

2. Sebuah batu mempunyai massa 1 kg dilempar secara vertikal ke atas. Ketika berada di ketinggian 10 meter dari permukaan tanah memiliki kecepatan 2 m/s. Berapakah energi mekanik buah mangga pada waktu tersebut? (g =10 m/s2).

Jawab:

Diketahui:

  • m = 1 kg
  • h = 10 m
  • v = 2 m/s
  • g =10 m/s2

Penyelesaian:

EM = EP + EK
EM = m g h + ½ m v2
EM = 1 . 10 . 10 + ½ . 1 . 22
EM = 100 + 2
EM = 102 joule

3. Gilang menjatuhkan kunci motor dari atas ketinggian 2 meter sehingga kunci bergerak jatuh bebas menuju bawah rumah. Apabila percepatan gravitasi di area tersebut adalah 10 m/s2, maka kecepatan kunci selepas berpindah sejauh 0,5 meter dari posisi awalnya yaitu?

Jawab:

Diketahui:

  • h1 = 2 m
  • v1 = 0
  • g = 10 m/s2
  • h = 0,5 m
  • h2 = 2 – 0, 5 = 1,5 m

Ditanyakan:

v2 …?

Penyelesaian:

Berdasarkan dari hukum kekekalan energi mekanik, maka

EM1 = EM2
Ep1 + Ek1 = Ep2 + Ek2
m.g.h1 + ½ m.v12 = m.g.h2 + ½m.v22
m. 10 (2) + 0 = m. 10 (1,5) + ½m.v22
20 m = 15 m + ½m.v22
20= 15 + ½ v22
20 – 15 = ½ v22
5 = ½ v22
10 = v22
v2 = √10 m/s

Photo of author

Ahmad

Pemuda yang senang belajar dan berbagi dengan sesama

Tinggalkan komentar