Materi Sistem Persamaan Linier Kuadrat Dua Variabel biasanya akan kalian dapatkan di bangku SMA, tepatnya saat kalian berada di kelas 10.
Materi ini merupakan penjabaran lanjutan dari persamaan linear kuadrat. Berikut akan kami berikan ulasan selengkpanya mengenai Sistem Persamaan Linier Kuadrat Dua Variabel, simak baik-baik ya.
Daftar Isi
Sistem Persamaan Linear dan Kuadrat Dua Variabel (SPLKDV)
Banyak persoalan pada bidang sains, bisnis, dan juga teknik yang melibatkan dua atau lebih persamaan dalam dua atau lebih variabel.
Dan dalam menyelesaikan persoalan tesebut ini, kita harus menemukan solusinya dengan menggunakan sistem persamaan.
Dan untuk SPLDKV sendiri memiliki bentuk umum seperti berikut ini:
y = ax + b (bentuk linear)
y = px2 + qx + r (bentuk kuadrat)

Keterangan:
Dengan a, b, p, q, r merupakan bilangan real.
Cara Penyelesaian SPLKDV
Berikut adalah tahapan atau langkah-langkah dalam menyelesaikan persoalan SPLKDV, diantaranya ialah sebagai berikut:
- Subtitusikan y = ax+b menjadi y = px2 + qx + r sehingga akan terbentuk persamaan kuadrat.
- Menentukan akar-akar persamaan kuadrat yang terbentuk yaitu x1 dan x2.
- Subtitusikan x1 dan juga x2 ke dalam bentuk persamaan bentuk linear untuk memperoleh y1 dan y2.
- Himpunan penyelesaiannya yaitu {(x1,y1),(x2,y2)}.
Himpunan penyelesaian antara persamaan bentuk linear dengan bentuk kuadrat mempunyai tiga kemungkinan, diantaranya yaitu:
- Apabila D>0, maka garis serta parabola berpotongan di dua titik yang di mana adalah himpunan penyelesaiannya.
- Apabila D = 0, maka garis serta parabola berpotongan di satu titik yang di mana adalah himpunan penyelesaiannya.
- Apabila D < 0, maka garis seta parabola tidak berpotongan sehingga tidak memiliki himpunan penyelesaian atau { }.
Metode Substitusi
Berikut ini adalah contoh dari sistem persamaan dua variabel:
x – y = -4 ……………. Persamaan 1
x2 – y = -2 ……………. Persamaan 2
Penyelesaian dari sistem ini adalah pasangan berurutan yang di mana akan memenuhi masing-masing persamaan dalam sistem tersebut.
Proses dalam menemukan himpunan dalam metode atau penyelesaian ini disebut sebagai menyelesaikan sistem persamaan.
Sebagai contoh, pasangan berurutan (–1, 3) merupakan salah satu selesaian dari sistem ini. Untuk menguji hal ini, maka akan kita substitusi –1 ke x serta 3 ke y dalam masing-masing persamaan.
Menguji (–1, 3) ke dalam Persamaan 1 serta Persamaan 2:
x – y = -4 → Tulis persamaan 1.
-1 – 3 = -4 → Substitusi -1 ke x dan 3 ke y.
-4 = -4 → Penyelesaian teruji dalam persamaan 1.
x2 – y = -2 → Tulis persamaan 2.
(-1)2 – 3 = -2 → Substitusi -1 ke x dan 3 ke y.
1 – 3 = -2 → Sederhanakan.
-2 = -2 → Penyelesaian teruji dalam persamaan 2.
Di sini akan kita pelajari dua macam cara dalam menyelesaikan sistem persamaan linear serta kuadrat dua variabel. Kita mulai dengan menggunakan metode substitusi.
Metode Substitusi
- Selesaikan satu persamaan, sehingga akan ada satu variabel pada persamaan tersebut yang dinyatakan ke dalam bentuk variabel lainnya.
- Substitusi bentuk yang diperoleh dalam tahap pertama ke dalam persamaan lainnya untuk memperoleh persamaan dalam satu variabel.
- Selesaikan persamaan yang didapatkan pada tahap ke dua.
- Substitusi balik nilai yang kita dapatkan di tahap tiga ke dalam persamaan yang didapatkan di tahap pertama guna menemukan nilai variabel lainnya.
- Uji selesaian ini apakah memenuhi masing-masing persamaan dalam sistem.
Contoh Soal:
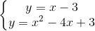
Himpunan penyelesaian dari sistem persamaan di bawah ini yaitu:
![]()
A. {(2,-1),(3,0)}
B. {(1,2),(3,0)}
C. {(-1,0),(2,3)}
D. {(2,3),(0,-1)}
E. {(0,3),(-1,2)}
Jawab:
Substitusikan y = x – 3 ke y = x2 – 4x + 3, sehingga akan kita dapatkan:
x – 3 = x2 – 4x + 3
<=> -x2 + 5x – 6 = 0
<=> x2 – 5x + 6 = 0
<=> (x – 3)(x – 2) = 0
<=> x1 = 3 atau x2 = 2
Untuk x1 = 3 maka y1 = 3 – 3 = 0
Untuk x2 = 2 maka y2 = 2 – 3 = -1
Sehingga, himpunan penyelesaiannya yaitu {(2,-1),(3,0)}
Maka jawaban yang paling tepat adalah: A
2. Sistem Persamaan Kuadrat (SPK)
Sistem persamaan kuadrat dengan variabel x serta y pada umumnya dinyatakan seperti berikut ini:
y = ax2 + bx + c
y = px2 + qx + r

Keterangan:
Dengan a, b, p, q, r merupakan bilangan real.
Cara Penyelesaian SPK
- Substitusikan persamaan yang satu ke dalam persamaan yang lainnya sehingga akan membentuk persamaan kuadrat.
- Menentukan akar-akar persamaan kuadrat yang terbentuk sehingga akan kita dapatkan himpunan penyelesaiannya, yaitu: {(x1,y1),(x2,y2)}
Himpunan penyelesaian dari sistem persamaan kuadrat mempunyai 6 kemungkinan, diantaranya yaitu:
- Apabila D > 0, maka kedua parabola akan berpotongan di dua titik yang di mana adalah himpunan penyelesaiannya.
- Apabila D = 0, maka kedua parabola akan berpotongan di satu titik yang di mana adalah himpunan penyelesaiannya
- Apabila D < 0, maka kedua parabola tidak akan berpotongan sehingga tidak memiliki himpunan penyelesaian atau { }
- Apabila a = p, b ≠ q, maka kedua parabola akan berpotongan di satu titik yang di mana adalah himpunan penyelesaiannya
- Apabila a = p, b = q dan c ≠ r, maka kedua parabola tidak akan berpotongan sehingga himpunan penyelesaiannya { }
- Apabila a = p, b ≠ q dan c = r, maka kedua parabola berimpit sehingga anggota dari himpunan penyelesaiannya tak berhingga penyelesaiannya.
Contoh Soal:
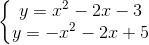
Himpunan penyelesaian dari sistem persamaan di bawah ini adalah:
![]()
A. {(5,2),(2,3)}
B. {(2,-5),(2,-3)}
C. {(-2,5),(2,-3)}
D. {(-2,-3),(2,-5)}
E. {(-3,5),(2,-2)}
Jawab:
Substitusikan persamaan dari y = x2 -2x – 3 ke dalam persamaan y = -x2 -2x + 5, sehingga:
x2 -2x – 3 = -x2 -2x + 5
<=> 2x2 -8 = 0
<=> x2 – 4 = 0
<=> (x – 2)(x + 2) = 0
<=> x = 2 atau x = -2
Untuk x = 2
y = x2 – 2x – 3
y = (2)2 -2 (2) – 3
y = 4 – 4 – 3
y = -3
Untuk x = -2
y = x2 – 2x – 3
y = (-2)2 -2 (-2) – 3
y = 4 + 4 – 3
y = 5
Maka dari itu, himpunan penyelesaiannya dari soal di atas adalah {(-2,5),(2,-3)}
Sehingga jawaban yang paling tepat adalah: C.
Baca juga:
- Sistem Persamaan Linear Dua Variabel (SPLDV)
- Sistem Persamaan Linear Tiga Variabel (SPLTV)
- Sistem Persamaan Linear
Demikianlah ulasan singkat terkait Sistem Persamaan Linier Kuadrat Dua Variabel yang dapat kami sampaikan. Semoga ulasan di atas dapat kalian jadikan sebagai bahan belajar kalian.