Untuk kalian yang gemar dengan pelajaran fisika, pastinya sudah tak asing lagi dengan istilah besaran pokok dan besaran turunan.
Besaran adalah sesuatu hal yang dapat diukur. Di dalam ilmu fisika, besaran ini terbagi ke dalam dua jenis, yaitu besaran pokok serta besaran turunan.
Selengkapnya terkait besaran pokok dan turunan simak baik – baik ulasannya di bawah ini.
Daftar Isi
Besaran dan Satuan

Di dalam dunia fisika, untuk mengukur setiap besaran ada satuannya masing – masing.
Mencari besaran bisa kalian lakukan dengan cara membandingkan besaran tersebut dengan suatu.
Atau dengan kata lain, kalian bisa membayangkan sedang mengukur besaran panjang sebuah papan tulis dengan menggunakan jengkal. Yang artinya kalian sedang membandingkan besaran panjang papan tulis dengan panjang jengkal kalian yang mana jengkal kalian itulah yang menjadi standarnya.
Sementara satuan merupakan suatu nama atau istilah yang diberikan atas hasil dari mengukur suatu besaran.
Contohnya second (s) untuk waktu, meter (m) untuk panjang.
Setiap besaran yang ada di dalam fisika mempunyai satuannya masing – masing. Berdasarkan satuan inilah besaran bisa dikelompokkan menjadi dua bagian, yaitu besaran pokok dan besaran turunan.
Besaran Pokok

Besaran pokok merupakan suatu besaran yang satuannya sudah didefinisikan terlebih dahulu serta tidak bisa dijabarkan dengan besaran lain.
Ciri – Ciri Besaran Turunan:
- Satuannya hanya satu. Satuan tersebut didapatkan dari pengukuran langsung memakai alat ukur.
Contoh: Panjang, satuannya meter / inchi.
Pengukuran tersebut dikerjakan langsung memakai penggaris / meteran.
Ada tujuh besaran pokok yang telah disepakati menjadi sistem besaran pokok internasional, berikut diantaranya:
| Besaran Pokok | Satuan SI | Singkatan |
|---|---|---|
| Panjang | Meter | m |
| Massa | Kilogram | kg |
| Waktu | Sekon | s |
| Kuat arus listrik | Ampere | A |
| Suhu | Kelvin | K |
| Intensitas cahaya | Kandela | Cd |
| Jumlah zat | mol | mol |
Untuk lebih lengkapnya, simak baik – baik ulasan berikut ini:
a. Massa
Pemakaian besaran massa dimanfaatkan dalam mengukur massa maupun kandungan materi pada sebuah benda.
Massa mempunyai satuan Internasional (SI) kilogram serta berdimensi [M].
Massa satu kilogram diartikan dengan massa silinder logam yang terbuat dari bahan campuran logam platina serta iridium yang disimpan dengan ketat di International Bureau of Weights and Measures di kota Sevres, Prancis.
b. Panjang
Pemakaian besaran panjang dimanfaatkan dalam mengukur panjang benda serta memiliki satuan Internasional (SI) berupa meter (m) dan berdimensi [L].
Satu meter diartikan sebagai jarak yang ditempuh oleh cahaya di dalam ruang hampa selama 1/299.792.458 sekon.
c. Waktu
Besaran waktu dimanfaatkan guna mengukur suatu waktu terjadinya peristiwa / kejadian. Waktu mempunyai satuan internasional (SI) sekon serta berdimensi [T].
Satu sekon diartikan sebagai selang waktu yang dibutuhkan oleh atom Cesium-133 guna bergetar sebanyak 9.192.631.770 kali.
Contoh alat ukur waktu ialah stopwatch.
d. Kuat arus
Pemanfaatan kuat arus dipakai dalam mengukur arus listrik dari sebuah tempat menuju tempat lain yang mempunyai satuan Internasional ampere (A) dan berdimensi [I].
Satu ampere diartikan sebagai kuat arus yang dibutuhkan guna memindahkan muatan satu Coulomb pada setiap detiknya.
e. Suhu
Suhu merupakan ukuran panas dari suatu benda. Suhu mempunyai satuan Internasional (SI) berwujud Kelvin (K). Alat untuk mengukur suhu adalah termometer.
f. Jumlah zat
Jumlah zat merupakan suatu besaran yang dipakai dalam mengukur jumlah partikel yang terkandung di dalam benda dengan satuan Internasional (SI) mol serta berdimensi [N].
Satu mol diartikan sebagai jumlah zat yang sama / sebanding dengan banyaknya 12 gram atom karbon -12.
g. Intensitas cahaya
Besaran satu ini dipakai untuk mengukur terang / tidaknya cahaya yang jatuh kepada suatu benda.
Intensitas cahaya mempunyai satuan Internasional candela (cd) serta berdimensi [J].
Satu candela diartikan sebagai intensitas pancaran radiasi monokromatik dengan menggunakan frekuensi 540 x 1012 Hz serta memiliki intensitas radian 1/683 watt per radian.
Besaran Turunan

Besaran turunan merupakan suatu besaran yang diturunkan dari besaran pokok.
Sebagai contoh besaran luas yang menjadi turunan dari besaran panjang.
Lalu ada kecepatan yang menjadi turunan dari besaran panjang dan juga waktu.
Besaran turunan memiliki jumlah yang sangat banyak, tetapi ada beberapa besaran turunan yang perlu untuk kalian ketahui, diantaranya yaitu:
| Besaran Turunan | Rumus | Satuan |
|---|---|---|
| Luas | Panjang (panjang x lebar) | m² (meter persegi) |
| Volume | Panjang (panjang x lebar x tinggi) | m³ (meter kubik) |
| Massa Jenis | Massa (massa : volume) | kg/m³ (kilogram per meter kubik) |
| Kecepatan | Jarak, Waktu (jarak : waktu) | m/s (meter per detik) |
| Percepatan | Waktu (kecepatan : waktu) | m/s² (meter per detik kuadrat) |
| Gaya | Massa (massa x percepatan) | newton (N) = kg m/s² |
| Usaha | Panjang (gaya x jarak) | joule (J) = kg m²/s² |
| Daya | Waktu (usaha : waktu) | watt (W) = kg m²/s² |
| Tekanan | gaya : luas | pascal (Pa) = N/m² |
| Momentum | massa x kecepatan | kg.m/s |
Keterangan:
- Luas diturunkan dari besaran panjang, yakni panjang dikali dengan panjang.
- Massa jenis diturunkan dari besaran massa serta panjang, yakni massa dibagi dengan panjang pangkat tiga (volume).
- Kecepatan diturunkan dari besaran panjang serta waktu, yakni panjang atau jarak dibagi dengan waktu.
- Percepatan diturunkan dari besaran panjang dan juga waktu, yakni jarak atau panjang dibagi waktu pangkat dua.
- Gaya diturunkan dari besaran massa, panjang, serta waktu, yakni massa dikali (panjang dibagi waktu pangkat dua).
Tekanan diturunkan dari besaran massa, panjang, serta waktu, yakni massa dibagi dengan (massa dikali waktu pangkat dua).
Ciri – Ciri Besaran Turunan:
1. Bisa diperoleh melalui pengukuran langsung dengan memakai alat ukur ataupun melalui pengukuran tidak langsung memakai rumus tertentu.
Contoh:
- Mengukur volume suatu gelas, dapat diperoleh dengan mengukur satu per satu setiap bagian pada permukaan gelas atau dapat memakai rumus volume yaitu panjang x lebar x tinggi.
2. Dapat terdiri dari satu / lebih satuan.
Contoh:
- Kecepatan adalah turunan dari besaran panjang (meter) & waktu (second). Untuk mengukurnya panjang / jarak tempuh : waktu = satuan m/s (meter per detik).
- Bahkan mempunyai tiga satuan. Contoh: Besaran gaya yang satuannya newton (N), satuan dasar newton yakni kg m/s².
Perbedaan besaran pokok dan besaran turunan ada pada satuannya. Besaran pokok memiliki satu satuan saja, sementara besaran turunan terdiri dari satu satuan atau lebih.
Dimensi Besaran Pokok dan Turunan
Sebelumnya sudah membahas sedikit terkait dimensi, berikut beberapa dimensi besaran pokok dalam bentuk tabel:
| No. | Besaran Pokok | Dimensi |
|---|---|---|
| 1 | Panjang (l) | L |
| 2 | Massa (m) | M |
| 3 | Waktu (t) | T |
| 4 | Temperatur (T) | Ө |
| 5 | Kuat Arus (I) | I |
| 6 | Intensitas (In) | J |
| 7 | Jumlah Zat (n) | N |
Contoh:
1. Contoh Satu
Kecepatan (v) adalah hasil bagi antara perpindahan (s) dengan selang waktu (t).
Sehingga, dimensi kecepatan bisa dicari dengan menggunakan rumus berikut:
![]()
2. Contoh Dua
Percepatan (a) adalah hasil bagi beda kecepatan (v) dengan selang waktu (t):
![]()
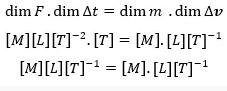
Dimensi juga bisa dimanfaatkan dalam mengecek kebenaran sebuah persamaan, contoh:
Buktikan secara dimensional jika hasil perkalian gaya serta selang waktu merupakan perubahan momentum!
Jawab:

Terbukti.
Tak hanya itu saja, dimensi juga bisa dimanfaatkan untuk menurunkan persamaan sebuah besaran dari besaran -besaran yang mempengaruhinya.
Pengukuran Besaran dalam Fisika

Kegiatan pengukuran sering kali kita temukan di kehidupan sehari – hari.
Sebagai contoh menimbang berat badan, mengukur tekanan darah, mengukur arus listrik dan yang lainnya.
Pengukuran merupakan suatu aktivitas membandingkan besaran satu dengan besaran lainnya sehingga akan memperoleh data yang pasti.
Perlu kalian ketahui bahwa teori yang ada di dalam fisika harus mampu selaras dengan hasil pengukuran. Jika teori tidak sesuai dengan hasil dari pengukuran, maka teori itu ditolak.
Oleh sebab itu, pengukuran dalam dunia fisika adalah hal sangat penting untuk menjadi dasar kevalidan data.
Pada pengukuran sederhana, kerap kali ditemukan alat ukur seperti pengukuran besaran panjang dengan alat ukur mistar atau jangka sorong, pengukuran besaran massa memakai alat ukur timbangan dan lainnya.
Konsep dari besaran pokok dan turunan sudah ditetapkan oleh para ahli fisika memakai satuan baku yang disebut satuan internasional (SI). Hal tersebut akan mempermudah pada pencocokan pengukuran.
Sistem pengukuran yang sifatnya universal ini dapat dipakai di seluruh dunia.
Contoh Soal
Berikut ini adalah contoh soal yang berkaitan dengan Besaran Pokok dan Turunan, antara lain:
1. Hasil pengukuran dari kapasitas panas C sebuah zat padat sebagai fungsi temperatur T dinyatakan dengan persamaan C = aT + bT3.
Satuan untuk a dan b yang mungkin yaitu…
A. J buat a dan JK-2 buat b
B. JK2 buat a dan J buat b
C. Jk buat a dan JK-3 buat b
D. JK-2 buat a dan JK-4 buat b
E. J buat a dan J buat b
Jawab:
Kapasitas panas memiliki satuan JK-1.
Satuan tersebut didapatkan dari persamaan Q = C . ∆T atau juga bisa ditulis sebagai C = Q/∆T .
Sedangkan agar persamaan C pada soal valid, maka kalian harus dapat memenuhi syarat berikut:
- Satuan C = Satuan (aT) JK-1 = Satuan (a) . K Satuan (a) = JK-2
- Satuan C = Satuan (bT3) JK-1 = Satuan (b) . K3 Satuan (b) = JK-4
Sehingga jawaban yang tepat untuk contoh soal tersebut yaitu D.