Secara tidak sadar, kita sering menggunakan konsep dari rumus percepatan. Sebagai contohnya ketika kalian hendak berangkat kerja, kemudian kalian menaiki alat transportasi dimana tentunya kalian akan berjalan dengan menggunakan kecepatan tertentu.
Mengapa demikian? Sebab tanpa sadar kalian sering berjalan lambat, kemudian berubah cepat dan melambat lagi. Dimana keadaan seperti itu tanpa kalian sadari kalian sedang melakukan percepatan.
Daftar Isi
Pengertian Percepatan
Percepatan atau acceleration merupakan sebuah perubahan kecepatan sebuah benda yang sebelumnya lambat sampai menjadi cepat serta ditempuh dalam setiap satuan waktu.

Percepatan masuk ke dalam besaran vektor yang mempunyai sebuah nilai dan arah.
Cara untuk menuliskan percepatan di dalam hukum fisika menggunakan simbol huruf (a).
Contoh percepatan yang ada di dalam kehidupan sehari – hari yaitu:
- Gerak buah kelapa yang jatuh dari pohonnya ke arah tanah.
- Gerak sepeda pada jalanan yang menurun.
- Gerak sepeda motor pada saat digas kencang.
- Saat bermain perosotan.
Pengertian Perlambatan

Perlambatan merupakan suatu perubahan kecepatan setiap waktu atau perubahan nilai kecepatan menuju arah nilai kecepatan yang lebih kecil atau dapat disebut kecepatan akhirnya berkurang.
Untuk hasil perhitungan dari perlambatan sendiri berupa negatif, hal tersebut disebabkan gerakan benda semakin melambat.
Contoh perlambatan yang ada di dalam kehidupan sehari – hari yaitu:
- Gerak benda yang dilempar ke atas sehingga gerakannya akan melambat.
- Gerakan orang yang sedang mengayuh sepeda di jalan yang menanjak.
- Gerak benda atau bola yang dilempar ke rumput.
- Mengendarai sepeda motor kemudian menjumpai lalu lintas yang membuatnya semakin pelan dan berhenti ketika lampunya merah.
Tanda positif dan negatif yang ada di dalam persamaan fisika hanya untuk menunjukkan arah terhadap vektor. Apakah ke arah kanan atau ke arah kiri atau ke arah atas dan atau ke arah bawah.
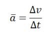
Rumus Percepatan

Secara umum rumus percepatan suatu benda yang bergerak sesuai dengan rumus percepatan berikut :
Keterangan:
- a : percepatan rata – rata (m/s2)
- Δv : perubahan kecepatan (m/s)
- Δt : selang waktu (s)
- V1 : waktu awal (m/s)
- V2 : kecepatan akhir (m/s)
- t1 : waktu awal (s)
- t2 : waktu akhir (s)
Berdasarkan pada persamaan di atas, nilai percepatan bisa bernilai positif serta bisa juga memiliki nilai negatif.
Nilai percepatan yang positif itu berarti benda mengalami perubahan nilai kecepatan menuju arah nilai kecepatan yang lebih besar atau dapat disebut mempunyai kecepatan yang bertambah.
Jenis – Jenis Percepatan
Dilihat dari selang waktu yang dialami pada saat benda mengalami perubahan kecepatan, maka percepatan dibagi ke dalam dua jenis yang berbeda, yakni percepatan rata – rata dan percepatan sesaat.
Berikut penjelasannya:
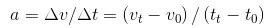
1. Rumus Percepatan Rata – Rata

Secara sistematis, untuk rumus atau persamaan percepatan rata – rata bisa ditulis menjadi:
Keterangan:
- a : percepatan rata – rata (m/s2)
- Δv : perubahan kecepatan (m/s)
- Δt : selang waktu (s)
Catatan:
- Satuan percepatan yaitu meter per sekon per sekon, atau m/s2.
- Percepatan merupakan besaran vektor, yang artinya memiliki besar / arah.
Besarnya percepatan merupakan jumlah totalnya, sementara arahnya akan ditentukan oleh arah gerakan benda.
Apabila benda melambat, percepatan akan memiliki nilai negatif.
a. Memahami Variabel
Untuk dapat menentukan Δv & Δt dengan perhitungan lebih lanjut:
dan
Keterangan:
- vt : menyatakan kecepatan akhir
- v : kecepatan awal
- tt : waktu akhir
- t : waktu awal
Catatan:
- Sebab percepatan memiliki arah, kalian harus selalu mengurangi kecepatan akhir dengan kecepatan awal. Apabila kalian membaliknya, arah percepatan yang kalian dapatkan akan salah.
- Kecuali dinyatakan lain dalam soal, waktu awal benda bergerak pada umumnya 0 sekon.
b. Menggunakan Rumus Mencari Percepatan
Tuliskan persamaan kalian beserta seluruh variabel yang diketahui.
Persamaannya yaitu:
Kurangi kecepatan akhir dengan kecepatan awal, lalu kalian bagi hasilnya dengan rentang waktu.
Hasilnya berupa percepatan rata – rata benda selama rentang waktu itu.
Apabila kecepatan akhir benda lebih kecil daripada kecepatan awalnya, percepatan akan bernilai negatif yang artinya benda tersebut melambat.
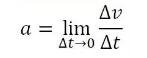
2. Rumus Percepatan Sesaat

Dalam menghitung percepatan sesaat percepatan (a) gerak sebuah benda harus mempunyai waktu yang sangat singkat, yakni nilai selang waktu (Δt) nya harus mendekati angka nol.
Secara sistematis, untuk rumus atau persamaan percepatan sesaat bisa ditulis menjadi:
Keterangan:
- a : percepatan rata – rata (m/s2)
- Δv : perubahan kecepatan (m/s)
- Δt : selang waktu (s)
Contoh Soal
Agar kalian lebih mudah untuk memahami uraian di atas, berikut kami sajikan beberapa contoh soal rumus percepatan beserta penjelasannya secara lengkap, antara lain:
1. Seorang pelajar terlihat mengendarai sepeda dengan kecepatan 7,2 km/jam. Ketika berada ditanjakan, kecepatan sepeda itu berubah menjadi 0,5 m/s² selama 4 sekon.
Hitunglah berapa percepatan akhir dari si pelajar tersebut?
Jawab:
Diketahui:
v1 = 7,2 km/jam = 7,2 (1.000/3.600) m/s = 2 m/s
a = − 0,5 m/s² (tanda negatif yaitu perlambatan)
t = 4 s
Ditanya:
v2 … ?
Penyelesaian:
a = (v2 – v1)/t
v2 = v1 + at
v2 = 4 + (− 0,5 × 2)
v2 = 3 m/s
v2 = 10,8 km/jam
2. Diketahui suatu mobil melaju dengan besar kecepatan awal adalah 2 m/s. Selepas mobil tersebut melaju selama 10 sekon, kecepatan mobil itu bertambah menjadi sebesar 4 m/s.
Hitunglah nilai percepatan yang ada pada mobil tersebut!
Jawab:
Diketahui:
v1 = 2 m/s
v2 = 4 m/s
t1 = 0 sekon
t2 = 10 sekon
Penyelesaian:
a = (v2-v1)/(t2-t1)
= 2/10
= 0.2 m/s²
3. Sebuah motor pada mulanya bergerak dengan menggunakan kecepatan sebesar 10 m/s, lalu di hadapannya terdapat seekor sapi lewat hingga akhirnya motor itu bergerak melambat dengan kecepatan 2 m/s dalam waktu 4 detik.
Berapakah nilai perlambatan dari motor tersebut?
Jawab:
Diketahui:
v = 10 m/s
vt = 2 m/s
t = 4 sekon
Ditanya:
a = …?
Penyelesaian:
a = (v2-v1) / (t2-t1)
a = (2 – 10) / 4
a = – 8 / 10
a = – 0,8 m/s2
4. Siti adalah seorang pengendara motor yang mana ia berhenti dari kecepatan 22,5 m/s selepas 2 sekon menekan rem motornya.
Berapakah nilai dari perlambatannya?
Jawab:
Diketahui:
vt = 0 m/s
v = 22,5 m/s
tt = 2 s
t = 0 s
Penyelesaian:
a = (0 – 22,5) / 2 = – 11,25 meter/sekon²
5. Gilang mengendarai sebuah mobil dengan kecepatan sebesar 72 km/jam, lalu ketika melintasi lampu lalu lintas ia berhenti dalam waktu 5 sekon.
Berapakah nilai perlambatan yang dialami oleh mobil Gilang?
Jawab:
Diketahui:
v = 72 km/jam = 20 m/s
vt = 0 m/s (Nilainya nol? Karena mobil risti berhenti artinya diam, Maka benda diam mempunyai kecepatannya nol (0))
t = 10 sekon
Ditanya:
a = …?
Penyelesaian:
a = (v2-v1) /(t2-t1)
a = 0 – 20 / 5
a = – 20 / 5
a = – 4 m/s²
6. Kecepatan sebuah mobil balap bertambah secara konstan dari 18,5 m/s ke 46,1 m/s dalam waktu 2,47 sekon.
Hitunglah nilai percepatan rata – ratanya!
Jawab:
![]()
Diketahui:
vt = 46,1 m/s
v = 18,5 m/s
tt = 2,47 s
t = 0 s
Penyelesaian:
a = (46,1 – 18,5) / 2,47 = 11,17 meter/sekon²
7. Suatu bus yang pada awalnya diam lalu bergerak 36 km/jam selama 5 sekon. Hitunglah nilai percepatan bus!
Jawab:
Diketahui:
v = 0 m/s => kenapa nilainya nol? Sebab benda benda tersebut diam sehingga nilai kecepatannya nol.
vt = 36 km/jam = 10 m/s
t = 5 sekon
Ditanya:
a = …?
Penyelesaian:

a = 10 – 0 / 5
a = 10 / 5 = 2 m/s²
8. Putra sedang mengendarai sepeda motor dengan menggunakan kecepatan 72 km/jam, lalu di hadapannya terdapat lampu lalu lintas dan berhenti dalam waktu 10 sekon.
Berapakah nilai perlambatan yang dialami oleh motor Putra?
Jawab:
Diketahui:
v = 72 km/jam = 20 m/s
vt = 0 m/s ; nilai nol sebab benda tersebut berhenti / diam. Jika benda diam maka nilai kecepatannya nol (0).
t = 10 sekon
Ditanya:
a = …?
Penyelesaian:
![]()
a = 0 – 20 / 10
a = – 20 / 10
a = – 2 m/s²
9. Sebuah mobil bergerak di dalam lintasan lurus dengan persamaan v(t) = 10 – 8t + 6t2, dengan t dalam sekon serta v dalam m/s.
Hitunglah percepatan mobil itu ketika t = 5 s!
Jawab:
Diketahui:
v(t) = 10 – 8t + 6t2
t = 5 s
Penyelesaian:
V (5) = 10 – 8 5 + 6 52
V (5) = 10 – 40 + 150
V (5) = 180 m/s
V (4) = 10 – 8 4 + 6 42
V (4) = 10 – 32 + 96
V (4) = 118m/s
a = ∆V/∆t
a = (180-118) / (5-4)
a = 62 m/s²
Sehingga dapat diketahui, percepatan yang terjadi terhadap mobil itu sebesar 62 m/s²
10. Sebuah bus yang pada awalnya diam lalu bergerak 36 km/jam selama 5 sekon. Hitunglah percepatan bus!
Jawab:
Diketahui:
v = 0 m/s => bernilai nol sebab benda tersebut diam sehingga nilai kecepatannya nol.
vt = 36 km/jam = 10 m/s
t = 5 sekon
Ditanya:
a = …?
Penyelesaian:
![]()
a = 10 – 0 / 5
a = 10 / 5 = 2 m/s²


