Persamaan lingkaran yang akan kalian pelajari di bawah ini mempunyai beberapa bentuk. Dimana setiap kasus yang berbeda, maka persamaannya juga berbeda.
Lingkaran juga disebut sebagai segi-tak hingga di dalam bidang geometri. Di dalam bidang kartesius, lingkaran merupakan titik – titik yang berjumlah tidak hingga yang mempunyai jarak yang sama dengan pusat lingkaran.
Jarak dari setiap titik menuju titik pusat disebut dengan jari – jari r.
Selengkapnya terkait persamaan lingkaran, simak ulasan di bawah ini.
Daftar Isi
Persamaan Lingkaran
Ada beberapa macam persamaannya, yakni persamaan yang dibentuk dari titik pusat serta jari – jari dan sebuah persamaan yang dapat dicari titik pusat serta jari – jarinya, berikut penjelasannya:
1. Persamaan Umum Lingkaran
Di dalam lingkaran, terdapat beberapa persamaan umum seperti berikut ini:
x2 + y 2+ Ax + By + C = 0
Dilihat dari persamaan di atas, bida ditentukan dari titik pusat dan jari – jarinya yaitu:
Titik pusat lingkaran yaitu:
2. Pada Pusat P (a,b) dan Jari – Jari r

Dari suatu lingkaran apabila diketahui titik pusat serta jari – jari nya, maka akan dapat menggunakan persamaan atau rumus berikut ini:
(x – a)2 + (y – b)2 = r2
Apabila diketahui titik pusat sebuah lingkaran serta jari – jari lingkaran yang mana (a,b) merupakan titik pusat serta r merupakan jari – jari dari lingkaran.
Dari persamaan atau rumus di ayas, maka kita bisa menentukan apakah termasuk titik terletak terhadap lingkaran tersebut atau berada di dalam atau di luar.
Guna menentukan letak titik itu maka memakai substitusi titik terhadap variabel x dan y kemudian dibandingkan hasil nya dengan menggunakan kuadrat dari jari – jari lingkaran.

sebuah titik M(x1, y1) yang terletak:
Pada lingkaran → (x1 – a)2 + (y2 – b)2 = r2
Di dalam lingkaran → (x1 – a)2 + (y2 – b)2 < r2
Di luar lingkaran → (x1 – a)2 + (y2 – b)2 > r2
3. Pada dengan Pusat O (0,0) dan Jari – Jari r

Apabila titik pusat di O(0,0), maka kalian dapat melakukan substitusi d bagian sebelumnya, yaitu:
(x – 0)2 + (y – 0)2 = r 2→ x2 + y2 = r2
Dari persamaan atau rumus di atas, maka bisa kita tentukan letak sebuah titik pada lingkaran tersebut.

sebuah titik M(x1, y1) yang terletak:
Pada lingkaran → x12 + y12 = r2
Di dalam lingkaran → x12 + y12 < r2
Di luar lingkaran → x12 + y12 > r2
Bentuk umum dari persamaannya bisa disebutkan ke dalam beberapa bentuk seperti berikut ini:
(x – a)2 + (y – b)2 = r2 , atau
X2 + y2 – 2ax – 2by + a2 + b2 – r2 = 0 , atau
X2 + y2 + Px + Qy + S = 0 , dengan P = -2a, Q = -2b, dan S = a2 + b2 – r2
Perpotongan Garis dan Lingkaran
Sebuah lingkaran yang memiliki persamaan x2 + y2 + Ax + By + C = 0 busa ditentukan apakah sebuah garis h dengan persamaan y = mx + n itu tidak menyentuh, menyinggung, maupun memotongnya dengan memakai prinsip diskriminan.
x2 + y2 + Ax + By + C = 0 ….. (Persamaan 1)
y = mx + n ….. (Persamaan 2)
Dengan cara mensubstitusi persamaan 2 dengan persamaan 1, maka akan didapatkan sebuah bentuk persamaan kuadrat, yakni:
x2 + (mx + n) 2 + Ax + B(mx + n) 2 + C = 0
Dari persamaan kuadrat yang ada di atas, dengan cara membandingkan nilai diskriminannya, maka bisa dilihat apakah garis tak menyinggung maupun memotong lingkaran.
Garis h tidak menyinggung atau memotong lingkaran, sehingga D < 0
Garis h menyinggung lingkaran, sehingga D = 0
Garis h memotong lingkaran, sehingga D > 0

Persamaan Garis Singgung Lingkaran
1. Persamaan garis singgung lewat suatu titik pada lingkaran
Garis singgung yang ada di dalam sebuah lingkaran tepat bertemu dengan satu titik yang ada pada lingkaran.
Dari titik pertemuan antara garis singgung dan lingkaran, maka dapat ditentukan persamaan garis dari garis singgung itu.
Persamaan garis singgung lingkaran yang melalui titik P(x1, y1), bisa ditentukan yakni:
Bentuk:
x2 + y2 = r2
Persamaan garis singgungnya: xx1 + yy1 = r2
Bentuk:
(x – a)2 + (y – b)2 = r2
Persamaan garis singgungnya: (x – a)(x1 – a) + (y1 – b) (y – b) = r2
Bentuk:
x2 + y2 + Ax + By + C = 0
Persamaan garis singgungnya: ![]()
Contoh soal:
Persamaan garis singgung yang melewati titik (-1,1) pada lingkaran x2 + y2 – – 4x + 6y – 12 = 0 adalah …
Jawab:
Diketahui persamaan lingkarannya yaitu:
x2 + y2 – – 4x + 6y – 12 = 0 dengan A= -4, B = 6 serta C = -12 dan x1 = -1, y1 = 1
Persamaan garis singgungnya adalah:
![]()
![]()
Sehingga persamaan garis singgungnya yaitu 4y = 3x + 7.
2. Persamaan garis singgung dengan menggunakan gradien
Apabila sebuah garis dengan gradien m yang menyinggung suatu lingkaran x2 + y2 = r2 maka persamaan garis singgungnya adalah:
Apabila lingkaran,
(x – a)2 + (y – b)2 = r2
maka persamaan garis singgungnya adalah:
![]()
Apabila lingkaran,
x2 + y2 + Ax + By + C = 0
maka persamaan garis singgungnya dengan mensubstitusi r dengan,
![]()
Sehingga didapatkan:
![]()
atau
![]()
3. Persamaan Garis Singgung dengan Titik yang Berada di luar Lingkaran
Dari sebuah titik yang berada di luar suatu lingkaran, maka bisa ditarik dua garis singgung terhadap lingkaran tersebut.
Guna mencari persamaan garis singgung, maka digunakanlah persamaan atau rumus garis biasa, yakni:
y – y1 = m (x – x1)
Namun, dari persamaan atau rumus itu, nilai gradien garis belum diketahui.
Maka guna mencari nilai gradien garis tersebut, kalian harus substitusikan persamaan terhadap persamaan lingkaran. Sebab garis adalah garis singgung, sehingga dari persamaan hasil substitusi nilai D=0, maka akan didapatkan nilai m.
Contoh Soal
Agar kalian lebih mudah untuk memahami uraian di atas, berikut kami sajikan beberapa contoh soal persamaan lingkaran beserta penjelasannya secara lengkap, diantaranya ialah sebagai berikut:
1. Ujian Nasional tahun 2013
Suatu lingkaran mempunyai titik pusat (2, 3) serta berdiameter 8 cm. Persamaan lingkaran tersebut yaitu ..…
A. x² + y² – 4x – 6y – 3 = 0
B. x² + y² + 4x – 6y – 3 = 0
C. x² + y² – 4x + 6y – 3 = 0
D. x² + y² + 4x + 6y + 3 = 0
E. x² + y² + 4x – 6y + 3 = 0
Jawab:
Sebab d = 8 artinya r = 8/2 = 4, sehingga persamaan lingkaran yang terbentuk yaitu:
(x – 2)² + (y – 3)² = 42
x² – 4x + 4 + y² -6y + 9 = 16
x² + y² – 4x – 6y – 3 = 0
Jawaban: A
2. Tentukanlah persamaan dari lingkaran yang berwarna biru dan merah, kemudian tentukan luas daerah pada lingkaran yang berwarna biru ?

Jawab:
Dengan menggunakan grid seperti pada gambar di atas, maka kita bisa mengetahui jika lingkaran yang berwarna biru mempunyai titik pusat di (2, 0) serta berjari – jari R = 4 satuan panjang.
Tak hanya itu, kita juga bisa mengetahui jika lingkaran yang warnanya merah mempunyai titik pusat di (2, 2) serta berjari- j ari r = 2 satuan panjang.
Maka bisa diasumsikan yang warnanya biru yakni (x – 2)² + (y – o)² = 42 atau bisa disederhanakan menjadi persamaan (x – 2)² + y² = 16.
Dengan menggunakan cara yang sebelumnya, kita juga bisa mendapatkan persamaan lingkaran yang berwarna merah yaitu (x – 2)² + (y – 2)² = 4.
Berikutnya kita akan menghitung luas daerah yang warnanya biru.
Daerah tersebut merupakan hasil dari pengurangan daerah yang ada di dalam lingkaran biru oleh daerah di dalam lingkaran merah.
Sehingga akan menjadi:

Maka, luas daerah yang berwarna biru yaitu 12π satuan luas.
3. Sebuah lingkaran mempunyai persamaan:
x² + y² = 144
Tentukan panjang diameter dari lingkaran tersebut!
Jawab:
Lingkaran pusat ada di (0, 0) dengan jari – jari:
r = √144
= 12 cm.
Diameter lingkaran:
D = 2 r
= 24 cm.
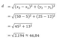
4. Pada sebuah kapal pesiar yang terdapat di koordinat (5, 12) mempunyai radar dengan jangkauan sebesar 45 km menuju segala arah, maka:
(a) Tulislah persamaan yang memodelkan jangkauan maksimum dari radar yang ada di kapal pesiar tersebut.
(b) Pakailah rumus jarak guna menentukan apakah radar itu bisa mendeteksi kapal lain yang ada di koordinat (50, 25).
Jawab:
(a) Dengan menggunakan posisi kapal pesiar, (5, 12), sebagai titik pusat, maka kita mendapatkan:
a = 5, b = 12 dan r = 45. Sehingga, jangkauan maksimum dalam radar itu bisa dimodelkan sebagai:
(x – 5)2 + (y – 12)2 = 452 yang sama seperti persamaan (x – 5)2 + (y – 12)2 = 2.025.

(b) Dengan (x1, y1) = (5, 12) serta (x2, y2) = (50, 25), maka kita bisa memakai rumus jarak:

Sebab 46,84 > 45, maka kapal pesiar yang kedua tidak akan dapat terdeteksi oleh radar kapal pesiar yang pertama.
5. Diberikan persamaan lingkaran:
x2 + y2 −4x + 2y − 4 = 0.
Titik A mempunyai koordinat (2, 1). Maka tentukan posisi titik tersebut, apakah berada di dalam lingkaran, di luar lingkaran ataupun pada lingkaran!
Jawab:
Masukkan koordinat A menuju persamaan lingkarannya:
Titik A (2, 1)
x = 2
y = 1
x2 + y2 −4x + 2y − 4
= (2)2 + (1)2 −4(2) + 2(1) − 4
= 4 + 1 − 8 + 2 − 4
= −5
Hasilnya lebih kecil dari 0, sehingga titik A ada di dalam lingkaran.
Aturan selengkapnya yakni:
Hasil > 0 , titik akan berada di luar lingkaran.
Hasil = 0, titik berada pada lingkaran.

