Gelombang elektromagnetik adalah gelombang yang merambat tanpa membutuhkan medium dan merupakan gelombang transversal.
Energi elektromagnetik merambat melalui beberapa karakter seperti panjang gelombang, frekuensi, amplitudo, dan kecepatan.
Energi elektromagnetik dilepaskan atau dipancarkan pada level yang berbeda. Semakin tinggi level energi, maka semakin rendah panjang gelombang dari energi yang dihasilkan, namun frekuensinya semakin tinggi.
Untuk mengetahui secara lebih lanjut, berikut Yuksinau akan menguraikannya.
Daftar Isi
Teori Gelombang Elektromagnetik

Dasar teori dari perambatan gelombang elektromagnetik pertama kali dijelaskan pada 1873 oleh James Clerk Maxwell.
Dalam papernya, beliau mengemukakan teori dinamika medan elektromagnetik (A dynamical theory of the electromagnetic field), berdasarkan hasil kerja penelitiannya antara 1861 dan 1865.
Berikut inti teori Maxwell mengenai gelombang elektromagnetik:
a. Perubahan medan listrik dapat menghasilkan medan magnet
b. Cahaya termasuk gelombang elektromagnetik.
Teori tersebut juga didukung oleh:
- Ilmuwan asal Jerman, Heinrich Rudolph Hertz membuktikan bahwa gelombang elektromagnetik merupakan gelombang tranversal. Hal ini sesuai dengan kenyataan bahwa cahaya dapat menunjukkan gejala polarisasi.
- Peter Zeeman yang merupakan ilmuwan asal Belanda juga menyatakan bahwa medan magnet yang sangat kuat dapat berpengaruh terhadap berkas cahaya.
- Percobaan Stark, seorang ilmuwan berkebangsaan Jerman mengungkapkan bahwa medan listrik yang sangat kuat dapat mempengaruhi berkas cahaya.
Prinsip
Gelombang elektromagnetik muncul sebagai paduan daya imajinasi dan ketajaman akal pikiran berlandaskan keyakinan akan keteraturan dan kerapian aturan-aturan alam.
Hasil-hasil percobaan yang mendahuluinya telah mengungkapkan tiga aturan gejala kelistrikan, antara lain:
- Hukum Coulomb: Muatan listrik menghasilkan medan listrik yang kuat.
- Hukum Faraday: Perubahan medan magnet (B) dapat menimbulkan medan listrik (E).
- Hukum Biot-Savart: Aliran muatan (arus) listrik menghasilkan medan magnet disekitarnya.
Sifat-Sifat
- Terbagi menjadi beberapa jenis, tergantung frekuensi atau panjang gelombang.
- Tidak membutuhkan media rambat.
- Tidak membawa massa, tetapi membawa energi.
- Termasuk gelombang transversal, dan mengandung sifat yang sama.
- Medan listrik (E) selalu tegal lurus terhadap medan magnet (B) dan satu fase.
- Energi yang diusung sebanding dengan besar frekuensi gelombang.
- Memiliki momentum.
Spektrum
Berikut urutan spektrum gelombang elektromagnetik dari panjang gelombang terbesar atau frekuensi terkecil, hingga panjang gelombang terkecil atau frekuensi terbesar. Disertai juga dengan manfaat pada kehidupan sehari-hari.

1. Gelombang Radio
Gelombang radio dimanfaatkan untuk mentransmisikan sinyal pada jarak yang sangat jauh. Misalnya, gelombang radio dipakai oleh stasiun TV, Radio, dan lainnya untuk mentransmisikan sinyal komunikasi.
Selain itu, gelombang radio juga digunakan oleh radar untuk pencitraan satelit ke bumi dalam pembuatan peta 3 dimensi.
2. Gelombang Mikro
Gelombang mikro mempunyai panjang gelombang yang berorde beberapa centimeter dan frekuensi yang mendekati frekuensi resonansi alami molekul air dalam zat padat dan cairan.
Saat gelombang mikro diserap oleh sebuah benda, maka akan muncul efek pemanasan pada benda tersebut.
Seperti contoh, gelombang mikro yang digunakan dalam microwave (oven) dan pada pesawat radar.
3. Sinar Inframerah
Sinar inframerah tidak dapat dilihat namun dapat terdeteksi diatas spektrum cahaya merah yang biasanya digunakan untuk memindahkan satu bentuk enegi yang tidak terlalu besar.
Contohnya pada remote dalam mentransisikan data dalam bentuk energi.
4. Cahaya Tampak
Mempunyai spektrum elektromagentik yang dapat terdeteksi oleh mata manusia. Contoh sederhananya adalah penggunaan laser dalam serat optik pada bidang kedokteran dan telekomunikasi.
5. Sinar Ultraviolet
Sumber utama pemancar sinar ultraviolet adalah matahari.
6. Sinar X
Biasanya dimanfaatkan dalam bidang kedokteran untuk menerawang organ dalam tubuh seperti tulang. Dapat juga dimanfaatkan untuk menganalisis struktur kristal.
7. Sinar Gamma
Sinar gamma mengandung frekuensi paling tinggi dan daya tembus yang paling besar.
Salah satu penggunaan sinar gamma berfungsi untuk mensterilkan peralatan medis.
Bahaya Pemanfaatan
Berikut bahaya yang ditimbulkan dari pemanfaatannya:
- Pulsa microwaves dapat menimbulkan efek stres pada kimia syaraf otak.
- Radiasi HP dapat mengacaukan gelombang otak, menyebabkan sakit kepala, kelelahan, dan hilang memori. Pemakaian HP dapat memicu terjadinya kanker otak.
- Dampak negatif Wi-Fi sehubungan dengan radiasi elektromagnetik, seperti keluhan nyeri di bagian kepala, telinga, tenggorokan, dan beberapa bagian tubuh lain bila berada dekat dengan peralatan elektronik atau menara pemancar.
- Dan lain-lain.
Rumus Gelombang Elektromagnetik

Contoh Soal Gelombang Elektromagnetik
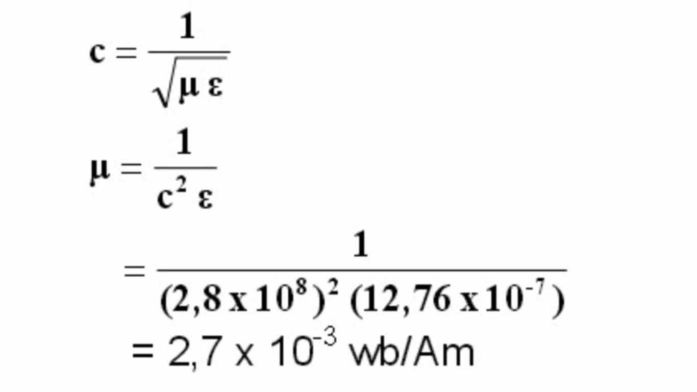
Gelombang elektromagnetik dalam suatu medium memiliki kelajuan 2,8 x 108 m/s. Jika permitivitas medium 12,76 x 10–7 wb/Am, tentukan permeabilitas medium tersebut.
Jawaban:
Diketahui:
c = 2,8 x 108 m/s,
ε = 12,76 x 10–7 wb/Am.
Dengan menggunakan persamaan Maxwell, maka diperoleh:

Itulah pembahasan seputar gelombang elektromagnetik, dan disertai dengan teori, prinsip, sifat, spektrum, dan lainnya. Nah, bagi Anda yang belum mengetahui mengenai hukum newton, baca sekarang juga!
2 pemikiran pada “Gelombang Elektromagnetik”