Sebetulnya, tanpa kita sadari konsep dari turunan matematika itu sendiri sering kali kita terapkan di dalam kehidupan sehari-hari. Baik itu di dalam ilmu matematika, atau bahkan ilmu yang lainnya.
Konsep dari turunan ini sering kali kita gunakan di dalam mencari garis singgung suatu kurva atau fungsi dan kecepatan.
Tak hanya itu saja, konsep dari turunan ini juga banyak diterapkan dalam berbagai bidang seperti:
- laju pertumbuhan organisme (biologi)
- keuntungan marjinal (ekonomi)
- kepadatan kawat (fisika) laju pemissahaln (kimia).
Untuk lebih jelasnya mengenai turunan matematika, simak pembahasannya berikut ini.
Daftar Isi
1. Pengertian
1. Pengertian Turunan Matematika
Turunan atau disebut juga seabagai Deriviatif merupakan suatu pengukuran kepada bagaimana fungsi berubah seiring perubahan nilai input.
Secara umum, turunan akan menyatakan bagaimanakah sebuah besaran berubah akibat adanya perubahan besaran yang lainnya.
Sebagai contoj: turunan dari posisi suatu benda yang kemudian bergerak terhadap waktu merupakan kecepatan sesaat oleh objek tersebut.
Proses dalam menemukan suatu turunan disebut sebagai diferensiasi. Serta kebalikan dari suatu turunan disebut seabgai Anti Turunan.
Teorema atau pernyataan fundamental kalkulus menyebutkan bahwa antiturunan merupakan sama dengan integrasi.
Turunan dan juga integral merupakan 2 buah fungsi penting yang ada di dalam kalkulus.
- (in x)’
- (sin x)’ = cos x
- (cos x)’ = -sin x
- (tan x) = sec2 x
- y’ merupakan simbol untuk turunan pertama.
- y” merupakan simbol untuk turunan kedua.
- y”’ merupakan simbol untuk turunan ketiga.
Simbol lainnya selain simbol y’ dan y” yaitu 
2. Pengertian Turunan Fungsi Matematika
Seperti yang telah kita sebutkan di atas, Turunan Fungsi atau yang disebut jua sebagai diferensial merupakan suatu fungsi lain dari suatu fungsi sebelumnya.
Contohnya fungsi f menjadi f’ yang mempunyai nilai yang tidak beraturan.
Konsep turunan sebagai bagian utama dari materi kalkulus dipikirkan pada waktu yang bersamaan oleh seorang Ilmuan Ahli matematika sekaligus Fisika berkebangsaan inggris yang bernama Sir Isaac Newto (1642 – 1727). Serta oleh seorang ahli matematika berbangsa Jerman yang bernama Gottfried Wilhelm Leibniz (1646 – 1716).
Turunan atau diferensial dipakai sebagai sebuah alat untuk menyelesaikan berbagai permasalah yang dijumpai di dalam bidang geometri dan mekanika.
Konsep turunan fungsi secara universal atau menyeluruh banyak sekali dimanfaatkan di dalam berbagai bidang keilmuan.
Sebut saja dalam bidang ekonomi: yang dipakai guna menghitung berupa, biaya total atau total penerimaan.
Pada bidang biologi: dipakai untuk menghitung laju pertumbuhan organisme.
Pada bidang fisika: di pakai untuk menghitung kepadatan kawat.
Pada bidangkimia: dipakai untuk menghitung laju pemisahan.
Serta pada bidang geografi dan juga sosiologi: yang dipakai untuk menghitung laju pertumbuhan penduduk serta masih banyak lagi.
2. Aturan menentukan turunan fungsi matematika
Turunan bisa kita tentukan tanpa adanya proses limit.
Untuk kebutuhan ini dirancang teorema atau pernyataan mengenai turunan dasar, turunan dari operasi aljabar pada dua fungsi, aturan rantai untuk turunan fungsi komposisi, dan juga turunan fungsi invers.
Informasi selengkapnya simak pembahasan berikut ini:
1. Turunan dasar matematika
Beberapa aturan dalam turunan fungsi antara lain:
- f(x), menjadi f'(x) = 0
- Jika f(x) = x, maka f’(x) = 1
- Aturan pangkat berlaku jika f(x) = xn, maka f’(x) = n X n – 1
- Aturan kelipatan konstanta berlaku jika (kf) (x) = k. f’(x)
- Aturan rantai berlaku jika ( f o g ) (x) = f’ (g (x)). g’(x))
2. Turunan jumlah, selisih, hasil kali, serta hasil bagi dua fungsi
Contohnya fungsi f dan g terdiferensialkan pada selang I, maka fungsi f + g, f – g, fg, f/g, ( g (x) ≠ 0 pada I ) terdiferensialkan pada I dengan aturan sebagai berikut:
- ( f + g )’ (x) = f’ (x) + g’ (x)
- ( f – g )’ (x) = f’ (x) – g’ (x)
- (fg)’ (x) = f’(x) g(x) + g’(x) f(x)
- ((f)/g )’ (x) = (g(x) f’ (x)- f(x) g’ (x))/((g(x)2)
3. Turunan fungsi invers
(f-1)(y) = 1/(f’ (x)), atau dy/dx 1/(dx/dy)
3. Rumus Dasar Turunan dari Turunan Fungsi
Beberapa aturan yang ada di dalam turunan fungsi antara lain:
- f(x), menjadi f'(x) = 0
- Jika f(x) = x, maka f’(x) = 1
- Aturan pangkat berlaku jika f(x) = xn, maka f’(x) = n X n – 1
- Aturan kelipatan konstanta berlaku jika (kf) (x) = k. f’(x)
- Aturan rantai berlaku jika ( f o g ) (x) = f’ (g (x)). g’(x))
Rumus dasar dari turunan fungsi sangat penting untuk kalian ingat.
Sebab rumus ini akan kalian pakai untuk menyelesaikan persoalan dari turunan fungsi aljabar.
4. Rumus Turunan Fungsi Al Jabar
Berikut ini adalah rumus-rumus turunan fungsi aljabar, diantaranya yaitu:
1. Rumus Turunan Fungsi Pangkat
Turunan Fungsi berbentuk pangkat, turunannya bisa memakai rumus:
sebagai berikut:

Sehingga, rumus turunan fungsi pangkatnya adalah:
![]()
2. Rumus turunan hasil kali fungsi 
Rumusan Fungsi f(x) turunan yang terbentuk dari perkalian fungsi u(x) dan v(x), adalah sebagai berikut:

Sehingga, rumus turunan fungsinya yaitu:
f'(x) = u’v +uv’
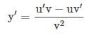
3. Rumus turunan fungsi pembagian 

Sehingga, rumus turunan fungsinya yaitu:
![]()
4. Rumus turunan pangkat dari fungsi 
Perlu diingat, jika f(x) = xn , maka dari itu:

Sehingga, rumus turunan fungsinya yaitu:
f'(x) = nu(n – 1) . u’
5. Turunan Fungsi Aljabar
Definisi Turunan
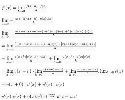
Turunan fungsi f(x) terhadap x didefinisikan oleh:
![]()
dengan syarat limitnya ada.
Notasi Turunan
Turunan pertama fungsi y = f(x) pada x bisa kita notasikan seperti berikut ini:
- y’ = f’x ⇒ lagrange
⇒ leibniz- Dxy = Dx[f(x)]⇒ euler
Dari definisi di atas bisa kita turunkan beberapa rumus turunan seperti di bawah ini:
- f(x) = k ⇒ f ‘(x) = 0
- f(x) = k x ⇒ f ‘(x) = k
- f(x) = xn ⇒ f ‘(x) = nxn-1
- f(x) = k u(x) ⇒ f ‘(x) = k u'(x)
- f(x) = u(x) ± v(x) ⇒ f ‘(x) = u'(x) ± v'(x)
dengan k = konstan
Perhatikan beberapa contoh berikut ini:
- f(x) = 5 ⇒ f ‘(x) = 0
- f(x) = 2x ⇒ f ‘(x) = 2
- f(x) = x2 ⇒ f ‘(x) = 2x2-1 = 2x
- y = 2x4 ⇒ y’ = 2. 4x4-1 = 8x3
- y = 2x4 + x2 − 2x ⇒ y’ = 8x3 + 2x − 2
Untuk mencari turunan dari fungsi yang memuat bentuk akar atau pecahan, langkah pertama yang harus kita lakukan yaitu merubah terlebih dahulu fungsi tersebut ke dalam bentuk pangkat (eksponen).
Berikut terdapat beberapa sifat akar dan pangkat yang sering dipakai, atara lain:
- xm . xn = xm+n
- xm/xn = xm-n
- 1/xn = x-n
- √x = x1/2
- n√xm = xm/n
Contoh:
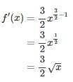
Soal 1.
Tentukan turunan dari f(x) = x√x
Jawab:
f(x) = x√x = x. x1/2 = x3/2
f(x) = x3/2 →
Soal 2.
Tentukan turunan dari
Jawab:
4. Turunan Perkalian dan Pembagian Dua Fungsi
Misalkan y = uv, maka turunan dari y bisa dinyatakan sebagai:
y’ = u’v + uv’
Misalkan y = u/v, maka turunan dari y dapat dinyatakan sebagai:

Contoh Soal.
Soal 1.
Turunan dari f(x) = (2x + 3)(x2 + 2) yaitu:
Jawab:
Misalkan:
u = 2x + 3 ⇒ u’ = 2
v = x2 + 2 ⇒ v’ = 2xf ‘(x) = u’ v + u v’
f ‘(x) = 2(x2 + 2) + (2x + 3) 2x
f ‘(x) = 2x2 + 4 + 4x2 + 6x
f ‘(x) = 6x2 + 6x + 4
5. Aturan Rantai
Apabila y = f(u), dengan u merupakan fungsi yang bisa diturunkan pada x, maka turunan y terhadap x bisa dinyatakan dalam bentuk:

Dari konsep aturan rantai di atas, maka untuk y = un, akan didapatkan:

Secara umum bisa dinyatakan seperti berikut ini:
Apabila f(x) = [u(x)]n dengan u(x) merupakan fungsi yang bisa diturunkan pada x, maka:
f'(x) = n[u(x)]n-1 . u'(x)
Contoh Soal.
Soal 1.
Tentukan turunan dari f(x) = (2x + 1)4
Jawab:
Misalnya:
u(x) = 2x + 1 ⇒ u'(x) = 2
n = 4
f ‘(x) = n[u(x)]n-1 . u'(x)
f ‘(x) = 4(2x + 1)4-1 . 2
f ‘(x) = 8(2x + 1)3
Soal 2.
Tentukan turunan dari y = (x2 − 3x)7
Jawab :
y’ = 7(x2 − 3x)7-1 . (2x − 3)
y’ = (14x − 21) . (x2 − 3x)6
6. Turunan Trigonometri
Berdasarkan definisi dari turunan, maka bisa kita dapatkan beberapa rumus turunan trigonometri yaitu sebagai berikut: (dengan u dan v masing-masing fungsi dari x), antara lain: y’ =
- y = sin x→ y’ = cos x
- y = cos x → y’ = -sin x
- y = tan x → y’ = sec2 x
- y = cot x → y’ = -csc2 x
- y = sec x → y’
- y = csc x → y’ = csc × cot x
- y = sinn xy’ = n sinn-1 × cos x
- y = cosn x → y’ = -n cosn-1 × sin x
- y = sin u → y’ = u’ cos u
- y = cos u → y’ = u’ sin u
- y = tan u → y’ = ui sec2 u
- y = cot u → y’ = -u’ csc2 u
- y = sec u → y’ = u’ sec u tan u
- y = csc u → y’ = u’ csc u cot u
- y = sinn u → y’ = n.u’ sinn-1 cos u
- y = cosn u → y’ = -n.u’ cosn-1 . sin u
Turunan fungsi trigonometri
- d/dx ( sin x ) = cos x
- d/dx ( cos x ) = – sin x
- d/dx ( tan x ) = sec2 x
- d/dx ( cot x ) = – csc2 x
- d/dx ( sec x ) = sec x tan x
- d/dx ( csc x ) = -csc x cot x
7. Aplikasi Turunan
1. Menentukan Gradien Garis Singgung Suatu Kurva
Gradien garis singgung (m) di dalam sebuah kurva y = f(x) dirumuskan seperti berikut ini:
m = y’ = f'(x)
Persamaan garis singgung dalam sebuah kurva y = f(x) di titik singgung (x1.y1) dapat dirumuskan menjadi seperti berikut ini:
y – y = m(x – x1) → m = f'(x1)
2. Menentukan Interval Fungsi Naik dan Fungsi Turun
- Syarat interval fungsi naik → f’ (x) > 0.
- Syarat interval fungsi turun → f’ (x) < 0.
3. Menentukan nilai stasioner suatu fungsi dan jenisnya
Apabila fungsi y = f(x) kontinu serta diferensiabel di x = a dan juga f'(x) = 0, maka fungsi mempunyai nilai statisioner di x = a.
Jenis nilai stasioner dari fungsi y = f(x) bisa berwujud nilai balik minimum, nilai balik maksimum, ataupun nilai belok.
Jenis nilai stasioner ini dapat kita cari dengan memakai menggunakan turunan kedua dari fungsi tersebut.
- Nilai maksimum → f’ (x) = 0 dan → f” (x) < 0.
Apabila f'(x) = 0 serta f’ (x) < 0, maka f'(x1) merupakan nilai balik maksimum dari fungsi y = f(x) serta titik (x1 f(x)) merupakan titik balik maksimum dari kurva y = f(x).
- Nilai minimum → f’ (x) = 0 dan → f” (x) > 0.
Apabila f'(x) = 0 dan → f’ (x) > 0, maka f(x1) merupakan nilai balik minimum dari fungsi y = f (x) serta titik (x1 f(x)) merupakan titik balik minimum dari kurva y = f(x).
- Nilai belok → f’ (x) = 0 dan → f” (x) = 0.
Apabila f'(x) = 0 serta f” (x) = 0, maka f'(x1) merupakan nilai belok dari fungsi y = f(x) serta titik (x1 f(x)) merupakan titik belok dari kurva y = f(x).
4. Menyelesaikan soal limit berbentuk tak tentu 0/0 atau ∞/∞
Apabila
adalah limit berbentuk tak tentu 0/0 atau ∞/∞ maka penyelesaiannya bisa dengan memakai turunan, yakni f(x) serta g(x) masing-masing diturunkan.
![]()
Apabila dengan turunan pertama telah dihasilkan bentuk tertentu, maka bentuk tertentu itu merupakan cara penyelesaiannya.
Namun apabila dengan menggunakan turunan pertama masih dihasilkan bentuk tak tentu, maka masing-masing f(x) dan juga f(x) diturunkan lagi hingga didapatkan hasil berbentuk tertentu.
Cara dari penyelesaian seperti ini disebut sebagai Dalil L’hopital.
5. Menentukan rumus kecepatan dan percepatan
Apabila rumus atau persamaan posisi gerak pada sebuah benda sebagai fungsi waktu diketahui yakni s = f(t), maka rumus kecepatan serta kecepatannya bisa dicari, yakni:
- Rumus kecepatan → v = s’ = f’ (t)
- Rumus percepatan → a = s’ = f” (t)
8. Contoh Soal dan Pembahasan
Soal 1.
Tentukanlah turunan fungsi dari f(x) = 2x(x4 – 5).
Jawab:
Misalkan jika u(x) = 2x dan v(x) = x4 – 5, maka:
u‘ (x) = 2 dan v‘ (x) maka = 4x3
Dengan begitu, akan didapatkan penjabaran serta hasilnya:
f ‘(x) = u ‘(x).v(x) + u(x).v ’(x) = 2(x4 – 5) + 2x(4x3 ) = 2x4 – 10 + 8x4 = 10x4 – 10
Soal 2. Soal Turunan Fungsi Aljabar
Turunan fungsi pertama dari
yaitu …
Jawab:
Soal ini merupakan soal fungsi yang berbentuk y = aun yang dapat dibahas dan diselesaikan dengan menggunakan rumus y’ = n . a . un-1. Maka:
Sehingga turunannya adalah:
Soal 3. Turunan Fungsi Trigonometri
Tentukan turunan pertama dari: ![]()
Jawab:
Untuk menyelesaikan perosalan di atas, kita bisa memanfaatkan rumus campuran yakni:
serta juga bisa menggunakan rumus y’ = n. u’ sinn-1 u . cos u
Sehingga:
Soal 4.
Turunan dari f(x) = (x – 1)2(2x + 3) adalah…
Jawab:
Misalkan:
u = (x − 1)2 ⇒ u’ = 2x − 2
v = 2x + 3 ⇒ v’ = 2f ‘(x) = u’v + uv’
f ‘(x) = (2x − 2)(2x + 3) + (x − 1)2. 2
f ‘(x) = 4x2 + 2x − 6 + 2(x2 − 2x + 1)
f ‘(x) = 4x2 + 2x − 6 + 2x2 − 4x + 2
f ‘(x) = 6x2 − 2x − 4
f ‘(x) = (x − 1)(6x + 4) atau
f ‘(x) = (2x − 2)(3x + 2)
Soal 5.
Apabila f(x) = x² – (1/x) + 1, maka f'(x) = . . . .
A. x – x²
B. x + x²
C. 2x – x-2 + 1
D. 2x – x2 – 1
E. 2x + x-2
Jawab:
f(x) = x2 – (1/x) + 1
= x2 – x-1 + 1f'(x) = 2x -(-1)x-1-1
Jawabannya: E
Soal 6. Aplikasi Turunan
Hitunglah nilau maksimum dari f(x) = x – 6x + 9x dalam interval -1 ≤ x ≤ 3.
Jawab:
Ingat kembali syarat nilai fungsi f(x) maksimum yaitu f’ (x) = 0 dan → f” (x) < 0, sehingga;
fmax jika f’ (x) = 0
3x2 – 12x + 9 = 0
x2 – 4x + 3 = 0
(x – 1)(x – 3) = 0
dan x = 1 dan x = 3
fmax = f(1) = 13 – 6 . 12 + 9 . 1
fmax = 4
Sehingga, nilai maksimum dari soal di atas adalah 4 (empat).
Demikianlah ulasan singkat mengenai turunan matematika yang memuat turunan fungsi aljabar, trigonometri dan aplikasi turunan yang dapat kami sampaikan.
Semoga ulasan di atas mengenai turunan matematika dapat kalian jadikan sebagai bahan belajar kalian.




saya izin mengutip ya untuk bahan tugas sekolah saya, terimakasih