Resonansi adalah salah satu sub bab yang akan dipelajari di dalam bab bunyi. Secara tidak sadar, resonansi juga berkaitan erat dengan berbagai hal di dalam kehidupan sehari – hari.
Contohnya seperti pada saat sebuah mobil truk yang berjalan di jalanan depan rumah, maka kalian dapat merasakan lantai serta kaca rumah yang bergetar.
Supaya lebih jelasnya, perhatikan ulasan berikut ini.
Daftar Isi
Pengertian Resonansi

Resonansi bunyi adalah sebuah peristiwa ikut bergetarnya sebuah benda akibat adanya getaran yang dihasilkan oleh sumber bunyi.
Pada resonansi bunyi ini hanya bisa berlangsung apabila sebuah benda mempunyai frekuensi alami yang sama dengan frekuensi alami dari sumber bunyi yang bergetar.
Tak hanya benda, udara maupun gas yang ada di sekitar sumber bunyi juga bisa beresonansi, asalkan mereka memiliki frekuensi alami yang sama dengan frekuensi alami dari sumber bunyi.
Contoh:
Pada saat salah satu garpu tala dipukul, maka akan menghasilkan bunyi serta getaran yang akan membuat garpu tala di sebelahnya juga turut bergetar.
Resonansi bunyi ini bisa juga digunakan untuk memperkuat bunyi asli, sehingga bunyi yang dihasilkan bisa terdengar lebih keras serta nyaring.
Namun, resonansi juga dapat menimbulkan kerugian, contohnya bunyi ledakan bom yang amat keras bisa menimbulkan getaran yang dapat meruntuhkan gedung di areanya.
Manfaat Resonansi Bunyi

Walaupun terlihat sangat sepele, namun di dalam kehidupan sehari – hari, adanya resonansi ini memberikan manfaat yang sangat banyak, diantaranya seperti:
- Resonansi bisa menghasilkan suara terhadap perangkat musik pada saat dimainkan. Contoh: Gitar, kendang, biola, gamelan,kulintang, dan perangkat musik lainnya.
- Tak hanya alat musik di atas, resonansi juga bisa menghasilkan suara merdu dari alat – alat musik klasik seperti seruling, dimana membuat suara yang dihasilkan menjadi keras.
- Dengan adanya resonansi, manusia bisa mendengar bunyi karena adanya peristiwa resonansi di dalam telinga.
- Di dalam telinga, ada selaput gendang telinga yang sangat tipis, sehingga gampang beresonansi dengan bunyi audiosonik.
Sifat – Sifat Resonansi Bunyi

Adapun beberapa sifat dari resonansi bunyi, diantaranya ialah sebagai berikut:
- Pada setiap struktur Lewis pasti memiliki jumlah elektron valensi serta setiap elektron tidak berpasangan yang sama.
- Dapat dituliskan di dalam sejumlah struktur Lewis yang disebut sebagai struktur resonan. Namun tidak gak satupun struktur tersebut dapat melambangkan format asli dari molekul yang bersangkutan.
- Ikatan yang memiliki orde ikatan yang berbeda di tiap – tiap struktur tidak memiliki panjang ikatan yang khas.
- Di antara struktur yang saling beresonansi itu bukan merupakan isomer.
- Struktur yang sebenarnya memiliki energi lebih rendah daripada energi pada setiap struktur resonan.
Struktur Resonansi Bunyi

Struktur resonansi merupakan diantara dari dua / lebih struktur Lewis untuk sebuah molekul yang tidak bisa dinyatakan secara tepat hanya dengan memakai satu struktur Lewis.
Tanda panah dua arah menyatakan jika beberapa struktur yang diserahkan merupakan struktur resonansi.
Istilah dari kata resonansi artinya penggunaan dua maupun lebih struktur Lewis untuk mencerminkan suatu molekul tertentu.
Pada tiap – tiap struktur resonansi bisa melambangkan struktur Lewis, dengan hanya satu ikatan kovalen antara setiap pasangan pada atom.
Beberapa struktur Lewis dimanfaatkan secara bersama – sama untuk menyatakan suatu struktur molekul. Namun struktur tersebut tidak tetap, melainkan terdapat sebuah isolasi antara ikatan rangkap dengan elektron yang saling berbolak – balik, sehingga hal tersebut disebut sebagai resonansi.
Struktur yang sebetulnya mungkin saja berupa peralihan dari dua struktur resonan. Bentuk peralihan (intermediet) dari struktur resonan disebut sebagai hibrida resonan.
Syarat Terjadinya Resonansi Bunyi

Resonansi bunyi dapat terjadi apabila memiliki beberapa syarat seperti berikut:
- Ada benda atau media lain yang menerima.
- Terdapat suatu sumber bunyi (benda yang bergetar).
- Memiliki frekuensi alami yang sama dengan frekuensi alami dari sumber bunyi.
- Ada suatu medium atau sarana perantara untuk merambat (bisa berupa benda padat atau udara).
Menghitung Cepat Rambat Bunyi

Berikut adalah rumus yang dapat digunakan untuk menghitung cepat rambat bunyi:
v = λ f
dimana
![]()
Keterangan:
- v = Cepat rambat bunyi (m/s)
- λ = Panjang gelombang (m)
- f = Frekuensi alami sumber bunyi (Hz)
- ln = Panjang kolom udara pada saat terjadi resonansi ke-n (m)
- n = Resonansi ke-n (n = 1, 2, 3, …)
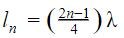
Pada beberapa percobaan yang dilakukan dengan menggunakan tabung, air, serta garpu tala dengan frekuensi alami tertentu, maka diketahui bahwa resonansi terjadi pada saat panjang kolom udaranya sebesar 1⁄4λ, 3⁄4λ, 5⁄4λ, dan seterusnya dengan selisih 1⁄2λ dari resonansi satu menuju resonansi selanjutnya.
Nah, untuk panjang kolom udara ketika terjadi resonansi itulah dapat disebut sebagai l.

Jika dilihat lihat dari data – data tersebut, panjang kolom udara pada waktu terjadi resonansi selalu berwujud kelipatan bilangan ganjil dari 1⁄4λ.
Oleh sebab itu, hubungan antara panjang kolom udara ketika terjadi resonansi ke-n (ln) dengan panjang gelombang (λ) dapat dicari dengan menggunakan rumus:
![]()
Dengan n tersebut menunjukan resonansi ke berapanya. Contoh resonansi pertama maka n = 1, resonansi kedua maka n = 2, resonansi ketiga maka n = 3, dan begitu juga seterusnya.
Nah, guna mencari cepat rambat gelombang bunyi tersebut, maka dibutuhkan nilai frekuensi alami (f) yang dimiliki oleh sumber bunyi.
Biasanya, nilai f ini sudah diketahui sejak awal (sudah tertera) di dalam soal, sehingga kalian tak perlu bingung untuk mencari nilai f nya.
Selepas mengetahui nilai λ dan f, maka kalian dapat mencari nilai v dengan memakai rumus v = λ f tadi.
Contoh Resonansi Bunyi
Berikut ini adalah beberapa contoh resonansi bunyi yang biasa ditemukan dalam kehidupan sehari – hari, antara lain:
- Suara beduk yang ditabuh. Suara beduk yang dipukul tersebut dihasilkan oleh adanya lapisan kulit sapi yang bergetar sama dengan frekuensi udara yang terletak di kolom beduk.
- Pada waktu gitar akustik dipetik yang menghasilkan berbunyi. Hal tersebut disebabkan dawai / senar yang dipetik akan bergetar yang mengakibatkan suara di dalam kolom gitar. Itulah kenapa gitar akustik dibuat dengan terdapat ruang di dalamnya yang bolong serta tengahnya berbentuk bulat atau lainnya agar udara yang berada di dalam kolom tersebut ikut menghasilkan bunyi yang bagus. Artinya frekuensi getar yang dihasilkan oleh senar gitar sama dengan frekuensi alami udara yang ada di dalam kolom udara gitar.
Contoh Soal
Untuk memudahkan kalian dalam memahami uraian di atas, berikut ini kami berikan contoh soal sekaligus pembahasannya:
1. Suatu sumber bunyi beresonansi pertama kali pada waktu tinggi kolom udara 50 cm. Apabila frekuensi sumber bunyi sebesar 250 Hz, hitunglah:
a. Panjang gelombang.
b. Panjang kolom ketiga ketika terjadi resonansi.
Jawab:
Diketahui:
- l = 50 cm = 0,5 m
- f = 250 Hz
Ditanya:
a. Panjang gelombangnya?
b. Panjang kolom ketiga pada saat terjadi resonansi?
Penyelesaian:
a. Cara menghitung panjang gelombangnya:
0.5= {[2(1) – 1] / 4} x λ 0.5 / 0.25 = λ λ = 2 m
b. Cara menghitung panjang kolom ketiganya:
l3 = {[2(3) – 1] / 4} x 2 l3 = 5/2 l3 = 2.5 m