Di dalam kehidupan sehari-hari, seringkali kita menjumpai zat-zat yang turut serta melengkapi kebutuhan kita. Zat tersebut diantaranya ada zat padat, cair, dan gas.
Contoh saja, es yang sedang mencari itu merupakan salah satu bentuk perwujudan dari zat padat yang berubah menjadi zat cair.
Lantas, apa yang pengertian dari zat padat itu sendiri? Kali ini aplikasipelajaran.com akan membahas tuntas mengenai apa materi ini, yuk simak baik-baik ulasan di bawah ini:
Daftar Isi
Pengertian Zat
Zat merupakan sesuatu yang mempunyai massa serta menempati suatu ruang. Dalam semua benda pasti terdiri atas zat atau bisa disebut juga dengan materi.
Dan berdasarkan wujudnya, zat dikelompokan menjadi tiga macam, yakni zat pacat, zat cair, dan zat gas.
Pengertian Zat Padat

Zat padat yakni zat atau materi yang memiliki bentuk dan juga volume (ruang yang ditempati) tertentu.
Terdapat dua cara utama bagaimana zat padat itu terbentuk, yakni dapat tersusun atas baris-baris teratur nan rapi atau dalam susunan yang abstrak atau tidak tentu.
Zat padat yang partikelnya tersusun dengan rapi disebut sebagai kristal. Contoh zat padat kristal yaitu: sebagian besar logam, intan, es, dan kristal garam.
Sementara itu, zat padat yang partikelnya tersusun secara acak disebut sebagai amorf. Pada umumnya, amorf memiliki tampilan dan tekstur yang mengkilap dan elastis.
Contoh zat padat amorf yaitu: lilin, kaca, karet, dan plastik.
Sebab partikel dari zat padat tersusun secara berdekatan dan menyatu, maka dari itu zat padat tidak dapat dimampatkan dengan mudah (zat padat tidak dapat dikecilkan hanya dengan menekannya).
Pada zat padat, partikel individunya tidak bergerak dengan cepat untuk mengalahkan gaya tarik menarik diantara partikel.
Namun, partikel-partikel tersebut tetap bergetar hanya saja terikat dan rapat pada tempatnya.
Ciri Ciri

| 1 | Bentuk | Tetap |
| 2 | Volume | tetap |
| 3 | Letak partikel | Berdekatan |
| 4 | Gerakan partikel | Tidak bebas |
| 5 | Gaya partikel | Sangat kuat |
| 6 | Susunan partikel | Sangat berdekatan |
| 7 | Tidak dapat dimampatkan | |
Salah satu ciri zat padat yakni bentuk serta volumenya tetap. Hal ini dapat kita contohkan dengan bola yang berbentuk bula.
Jika kita mencoba untuk memindahkannya ke dalam ember maka bentuknya akan tetap bulat.
Begitupun dengan volumenya, volume yang ada di dalam bola akan selalu tetap meskipun telah berpindah ke dalam ember.
Hal tersebut tak lain disebabkan gaya tarik-menarik antar partikel dalam zat padat sangatlah kuat.
Biasanya zat padat kristal yakni gula pasir atau garam dapur. Dan zat padat amorf yakni kaca dan batu granit.
Sifat

- Mempunyai bentuk yang tetap.
- Mempunyai volume yang tetap.
- Susunan molekul atau partikelnya teratur dan juga berdekatan (rapat).
- Mempunya gaya tarik menarik antar molekul yang sangat kuat.
- Mempunyai molekul atau partikel yang tak dapat bergerak bebas, serta tidak mudah terpisah.
- Bentuk gerakannya bergetar dan berputar ditempatnya saja.
- Tidak mengikuti bentuk wadah yang ditempati.
Tekanan

Tekanan merupakan besaran gaya yang bekerja dalam suatu benda tiap satuan luas bidang tekanan.
Rumus dari besar tekanan yaitu:
P=F/A
Keterangan:
- P = tekanan (N/m2)
- F = gaya tekan (N)
- A = luas bidang tekan (m2)
Dalam standar internasional satuan tekanan yakni pascal (Pa) atau N/m2.
Semakin besar gaya tekan, semakin besar pula tekanannya. Semakin luas bidang tekan, semakin kecil pula tekannya.
Berdasarkan rumus di atas, maka dapat disimpulkan bahwa:
- Makin besar gaya tekan yang diberikan, makin kecil pula tekanan yang dihasiilkan
- Makin kecil luas permukaan bidang tekan, makin besar pula tekanan yang dihasilkan.
Contoh penerapan konsep tekanan dalam kehidupan sehari-hari:
Kapak: Mata kapak memang dibuat tajam guna memperbesar tekanan sehingga nantinya akan memudahkan tukang kayu untuk memotong atau membelah kayu.
Orang-orang yang memotong kayu dengan menggunakan kapak yang tajam akan sedikit mengeluarkan tenaga dibandingkan dengan orang yang menggunakan kapak tumpul.
Sehingga dapat disimpulkan, bahwa kapak yang baik ialah kapak yang memiliki luas permukaan bidang yang kecil.
Dan dalam kehidupan sehari-hari, bidang yang kecil tersebut di dalam kapak kita sebut dengan tajam.
Rumus Pemuaian
Terdapat tiga rumus untuk pemuaian zat padat, diantaranya sebagai berikut:
1. Pemuaian Panjang
Pemuaian panjang adalah pemuaian yang akan membuat suatu benda menjadi lebih panjang karena peningkatan suhu.
Seperti yang telah disampaikan di atas, dalam kasus ini perubahan luas dan volume dapat diabaikan sehingga hanya terjadinya pada benda yang panjang tetapi tipis.

Keterangan:
- L = Panjang akhir benda (m)
- L0 = panjang mula-mula (m)
- α = koefisien muai panjang ( /0C )
- ΔT = perubahan suhu (C0 )
2. Pemuaian Luas
Pemuaian luas adalah pemuaian yang akan membuat suatu benda menjadi lebih luas karena peningkatan suhu. Pemuaian ini dapat terjadi dalam benda luas yang tipis seperti plat logam.

Keterangan:
- A = Luas akhir benda (m)
- A0 = Luas mula-mula (m)
- α = koefisien muai panjang ( /0C )
- ΔT = perubahan suhu (C0 )
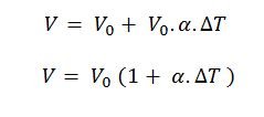
3. Pemuaian Volume
Pemuaian volume adalah pemuaian yang akan menambahkan volume terhadap suatu benda karena adanya peningkatan suhu.
Pemuaian volume terjadi terhadap benda yang volumenya tidak bisa diabaikan seperti halnya logam yang berbentuk kubus.

Keterangan:
- V = Volume akhir benda (m)
- V0 = Volume mula-mula (m)
- α = koefisien muai panjang ( /0C )
- ΔT = perubahan suhu (C0 )
Perbedaan antara Zat Padat, Zat Cair, dan Zat Gas

Zat padat memiliki bentuk dan juga volume tertentu. Jarak diantara partikelnya sangat rapat. Partikel-partikel dalam zat padat tidak bisa bergerak bebas.
Zat cair mmeiliki volume tertentu, namun tidak memiliki bentuk yang tetap, zat cair bentuknya bergantung pada media atau wadah yang digunakan.
Jarak antara partikel dalam zat cair lebih renggang. Partikel-partikel dalam zat cair bisa bergerak bebas namun geraknya terbatas.
Zat gas tidak memiliki volume dan juga bentuk yang tertentu. Jarak diantara partikel dalam zat gas sangatlah renggang. Partikel-partikel dalam zat gas bisa bergerak dengan sangat bebas.
Contoh

- Keramik
- Styrofoam
- Gigi
- Emas
- Buku
- Alumunium
- Pasir
- Batu
- Dadu
- Jagung
- Gelas
- Karet
- Arang
- Lilin
- Paku
- Plastik
- Koin
- Beras
- Batok kelapa
- Kerikil
- Tulang
Perubahan Wujud Zat (Benda)

Tak hanya itu, zat-zat seperti zat padat, cair dan gas juga bisa mengalami perubahan wujud, di dalam ilmu fisika perubahan wujud zat tersebut diantaranya:
- Mencair, yaitu suatu perubahan wujud zat padat menjadi zat cair. Contoh: es mencair, membakar lilin.
- Membeku, yaitu suatu perubahan wujud zat cair menjadi zat padat. Contoh: es yang membeku.
- Mengembun, yaitu suatu perubahan wujud zat gas menjadi zat cair. Contoh: embun.
- Menguap, yaitu suatu perubahan wujud zat cair menjadi zat gas. Contoh: uap air.
- Menyublim, yaitu suatu perubahan wujud zat padat menjadi zat gas. Contoh: kapur barus yang lama-lama habis.
- Mengkristal atau menghablur(deposisi), yaitu suatu perubahan wujud zat gas menjadi zat padat. Contoh: kristal.
Demikian ulasan singkat mengenai apa itu zat padat, semoga dapat membantu kegiatan belajar kalian ya… Terima kasih telah berkungjung :)).

Terimakasih atas infonya