Sebetulnya, rumus untuk simpangan baku cukup mudah, asalkan kalian mengetahui dasar dari simpangan baku itu sendiri.
Daftar Isi
Pengertian

Pada Ilmu Statistika dan Probabilitas, Simpangan Baku atau juga disebut sebagai Deviasi Standar merupakan sebuah teknik statistik yang dipakai dalam menjelaskan Homogenitas di dalam suatu kelompok.
Simpangan baku juga diartikan sebagai suatu nilai statistik yang sering kali dipakai dalam menentukan bagaimana sebaran data yang ada di dalam sampel, dan juga seberapa dekat titik data individu dengan mean atau rata-rata nilai dari sampel itu sendiri.
Simpangan baku definisikan dengan Akar Kuadrat Varians, sebab bilangannya berupa bilangan positif serta memiliki satuan yang sama dengan sebuah data.
Sebagai contoh: Jika sebuah data di ukur dengan menggunakan satuan mter, maka simpangan baku itupun juga harus di ukur dengan menggunakan satuan meter.
Kata Simpangan Baku pertama kali diperkenalkan pada tahun 1894 oleh Karl Pearson di dalam bukunya yang berjudul On The Dissection Of Asymmetrical Frequency Curves.
Pengenalan

Sebelum kalian mempelajari lebih lanjut mengenai rumus simpangan baku, maka ada beberapa hal yang harus kalian ketahui terlebih dahulu.
Nilai standar deviasi yang berasal dari kumpulan data yakni bisa saja = 0 atau bahkan lebih besar ataupun lebih kecil dari nol (0).
Dengan ketentuan:
- Apabila nilainya sama dengan nol, maka seluruh nilai yang terdapat di dalam himpunan itu merupakan sama.
- Sedangkan jika pada nilai yang bernilai lebih besar atau bahkan lebih kecil menandakan jika titik data dari individu itu jauh dari nilai rata-rata.
Langkah pertama yang harus dilakukan untuk mencari nilai simpangan baku ialah sebagai berikut:
- Menghitung nilai mean atau rata-rata pada setiap titik data yang tersedia.
- Nilai mean atau rata – rata sama dengan jumlah dari masing – masing nilai yang terdapat di dalam kumpulan data.
- Selanjutnya kalian bagi dengan jumlah total titik yang ada di data tersebut.
Langkah berikutnya:
Menghitung penyimpangan pada masing – masing titik data dari nilai meannya atau rata-ratanya. Yakni dengan cara mengurangi nilai dari nilai mean.
Selanjutnya, simpangan pada setiap titik data kalian kuadratkan kemudian cari penyimpangan kuadrat individu rata-ratanya.
Nilai yang dihasilkan tersebutlah yang disebut sebagai varian.
Selepas itu, untuk mencari standar deviasi yakni dengan cara mengakar kuadratkan nilai variannya.
Rumus
Cara untuk menghitung simpangan baku sebetulnya cukup mudah jika kalian telah hafal atau mengetahui rumus dari standar deviasi itu sendiri.
Kita ambil contoh, apabila diketahui sekumpulan data kuantitatif yang tidak dikelompokkan serta dinyatakan oleh x1, x2, …, xn.
Maka dari data di atas bisa kita dapatkan nilai simpangan baku (S) yang ditentukan dengan menggunakan rumus di bawah ini:
1. Simpangan baku untuk populasi

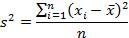
2. Rumus simpangan baku untuk sampel

3. Perhitungan
Salah satu cara atau metode dalam mengetahui keragaman dari sebuah kelompok data yakni dengan cara mengurangi masing – masing nilai data dengan mean kelompok data itu. Lalu seluruh hasilnya dijumlahkan.
Tetapi, cara seperti di atas tidak dapat diterapkan sebab akan hasilnya akan selalu 0.

Oleh sebab itu, solusi supaya hasilnya tidak 0 yakni dengan cara mengkuadratkan masing – masing pengurangan nilai data serta mean kelompok data itu.
Kemudian barulah dilakukan penjumlahan. Hasil dari penjumlahan kuadrat (sum of squares) itu nantinya akan selalu bernilai positif.

Nilai varian akan didapatkan dari pembagian hasil jumlah kuadrat (sum of squares) bersama ukuran data (n).
![]()
Meski demikian, dalam penerapannya, nilai varian itu dapat digunakan untuk menduga varian dari populasi. Dengan memakai rumus di atas, maka nilai varian populasi akan bernilai lebih besar dari varian sampel.
Oleh sebab itu, supaya tidak bisa menduga varian populasi, maka n digunakan sebagai pembagi penjumlahan kuadrat (sum of squares) kita ganti dengan menggunakan n-1 (derajat bebas) supaya nilai varian sampel mendekati nilai varian populasi.
Oleh sebab itu, rumus varian sampel akan menjadi:

Nilai varian yang diperoleh adalah nilai yang bentuknya kuadrat.
Sebagai contoh, satuan nilai rata-ratanya yaitu gram, maka nilai variannya juga akan berbentuk gram kuadrat. Untuk menyamakan nilai satuannya, maka varian kita akar kuadratkan sehingga menghasilnya standar deviasi.
Untuk memudahkan penghitungan, rumus varian serta standar deviasi itu dapat diturunkan menjadi:
4. Varian

5. Simpangan Baku

Keterangan:
- s2: Varian
- s: Standar deviasi
- xi: Nilai x ke-i
- x: Rata-ratanya
- n: Ukuran sampel
Contoh Soal
- Simpangan Baku
Soal 1.
Di Desa Rakitan diadakan kegiatan pengukuran tinggi badan, beberapa penduduk setempat yang akan dijadikan sebagai sampel didapatkan data sebagai berikut:
172, 167, 180, 170, 169, 160, 175, 165, 173, 170
Hitunglah simpangan baku pada data sampel pengukuran tinggi badan di atas.
Jawab:
| i | xi | xi 2 |
|---|---|---|
| 1 | 172 | 29584 |
| 2 | 167 | 27889 |
| 3 | 180 | 32400 |
| 4 | 170 | 28900 |
| 5 | 169 | 28561 |
| 6 | 160 | 25600 |
| 7 | 175 | 30625 |
| 8 | 165 | 27225 |
| 9 | 173 | 29929 |
| 10 | 170 | 28900 |
| ∑ | 1710 | 289613 |
Sehingga dapat kita ketahui, dari perhitungan data di atas keseluruhan Jumlah Data adalah (n) = 10 dan (n-1) = 9.
Soal 2.
Dalam suatu kelas mempunyai jumlah 40 siswa, kemudian kelas tersebut akan dijadikan sebagai sampel untuk diukur tinggi badannya sebanyak 9 orang siswa, dan didapatkan data sebagai berikut:
165, 170, 169, 168, 156, 160, 175, 162, 169.
Hitunglah simpangan baku dari sampel data di atas.
Jawab:

Sehingga diketahui Nilai Simpangan Bakunya yaitu adalah 5,83.
Soal 3.
Hitunglah simpangan baku dari nilai ulangan Matematika dari 71 siswa kelas 12 SMA Pelita sesuai dengan yang tertera pada tabel.
Jawab:
Didapatkan µ = 65,7.
| xi | fi | xi – µ | (xi – µ)2 | Σfi (xi – µ)2 |
|---|---|---|---|---|
| 42 | 3 | –23,7 | 561,69 | 1.685,07 |
| 47 | 4 | –18,7 | 349,69 | 1.398,76 |
| 52 | 6 | –13,7 | 187,69 | 1.126,14 |
| 57 | 8 | – 8,7 | 75,69 | 605,52 |
| 62 | 10 | –3,7 | 13,69 | 136,9 |
| 67 | 11 | 1,3 | 1,69 | 18,59 |
| 72 | 15 | 6,3 | 39,69 | 595,35 |
| 77 | 6 | 11,3 | 127,69 | 766,14 |
| 82 | 4 | 16,3 | 265,69 | 1.062,76 |
| 87 | 2 | 21,3 | 453,69 | 907,38 |
| 92 | 2 | 26,3 | 691,69 | 1.383,38 |
| Σfi = 60 | Σfi (xi – µ)2 = 9.685,99 |
- Simpangan Baku Data Kelompok
Soal 1.
Di Desa Joho diadakan pengukuran tinggi badan, beberapa penduduk setempat kemudian dijadikan sebagai sampel, sehingga diperoleh data sebagai berikut:
172, 167, 180, 170, 169, 160, 175, 165, 173, 170
Hitunglah Simpangan Baku Data Kelompok terhadap sampel data di atas.
Jawab:

Cara menghitung Simpangan Baku secara manual:
manual
Dari perhitungan di atas, maka diketahui jika nilai variannya yaitu 30,32.
Oleh sebab itu, untuk menghitung simpagan baku hanya membutuhkan akar kuadrat dari nilai varian itu, yakni s = √30,32 = 5,51
Sehingga, nilai Simpangan Baku Data Kelompoknya yaitu 5,51.
Terimakasih sangat membantu sekalih.
Sangat membantu dan waaaw, ,terimakasih??