Sama dengan bilangan rasional yang merupakan rasio dari dua bilangan bulat, fungsi rasional merupakan rasio dari dua polinomial.
Daftar Isi
Fungsi Rasional
Fungsi Rasional
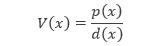
Fungsi rasional merupakan fungsi yang mempunyai bentuk umum
Dengan p dan d adalah polinomial dan d(x) ≠ 0. Domain dari V(x) merupakan seluruh bilangan real, kecuali pembuat nol dari d.
Adapun fungsi rasional yang paling sederhana, yakni fungsi y = 1/x dan fungsi y = 1/x².
Di mana keduanya mempunyai pembilang konstanta sertaa penyebut polinomial dengan satu suku. Dan kedua fungsi tersebut mempunyai domain semua bilangan real kecuali x ≠ 0.
Fungsi y = 1/x
Fungsi ini disebut juga sebagai fungsi kebalikan sebab setiap kita mengambil sembarang x (kecuali nol) maka akan menghasilkan kebalikannya sebagai nilai dari fungsi tersebut.
Yang artinya x yang besar akan menghasilkan nilai fungsi yang kecil, begitu juga sebaliknya. Tabel dan grafik dari fungsi tersebut bisa dilihat pada gambar di bawah ini.

Tabel dan grafik di atas menunjukan beberapa hal yang menarik.
Yang pertama, grafik tersebut lolos pada uji garis vertikal. Yang berarti setiap garis vertikal pada bidang koordinat Cartesius akan memotong grafik pada maksimal satu titik.
Sehingga, y = 1/x adalah sebuah fungsi.
Yang kedua, sebab pembagian tidak terdefinisi jadi saat pembaginya nol, maka nol tidak akan mempunyai pasangan, sehingga menghasilkan jeda pada x = 0.
Hal tersebut sesuai dengan domain dari fungsi tersebut, yakni seluruh x anggota bilangan real kecuali 0.
Yang ketiga, fungsi tersebut adalah fungsi ganjil, dengan salah satu cabangnya terletak di kuadran I.
Sementara yang lainnya berada pada kuadran III.
Kemudian yang terakhir, pada kuadran I, saat x menuju tak hingga, nilai y menuju dan mendekati nilai nol.
Secara simbolis bisa kit tuliskan sebagai x → ∞, y → 0. Secara grafis, kurva dari grafik fungsi tersebut akan mendekati sumbu-x pada saat x mendekati tak hingga.
Tak hanya itu saja, kita juga bisa mengamati bahwa pada saat x mendekati nol dari kanan maka nilai y akan mendekati bilangan real positif yang sangat besar (positif tak hingga): x → 0+, y → ∞.
Untuk catatan, tanda + atau – yang berada di atas akan mengindikasikan arah dari pendekatan. Yakni dari sisi positif (+) atau dari sisi negatif (–).
Contoh 1
Mendeskripsikan Sifat dari Ujung Grafik Fungsi Rasional
Untuk y = 1/x dalam kuadran III,
- Mendeskripsikan sifat dari ujung grafik fungsi tersebut.
- Mendeskripsikan apa yang akan terjadi pada saat x mendekati nol.
Pembahasan Serupa dengan sifat grafiknya pada kuadran I, maka akan kita peroleh
- Pada saat x mendekati negatif tak hingga, nilai y akan mendekati nol. Jika disimbolkan akan menjadi: x → –∞, y → 0.
- Pada saat x mendekati nol dari kiri, nilai y akan mendekati negatif tak hingga. Pernyataan tersebut juga bisa kita tuliskan dengan simbol x → 0–, y → –∞.
Fungsi y = 1/x²
Dari pembahasan di atas, kita bisa mengetahui bahwa grafik dari fungsi ini akan mengalami jeda pada saat x = 0.
Namun demikian, sebab kuadrat dari sembarang bilangan negatif merupakan bilangan positif, cabang-cabang dari grafik fungsi ini akan terletak kdi atas sumbu-x.
Perhatikan bahwa fungsi y = 1/x² adalah fungsi genap.

Sama halnya dengan y = 1/x, nilai x yang mendekati positif tak hingga akan menghasilkan y yang mendekati nol. Jika kita tulis simbolnya maka akan menjadi: x → ∞, y → 0.
Hal ini adalah salah satu indikasi dari sifat asimtot dalam arah horizontal. Serta kita akan menyatakan y = 0 adalah asimtot horizontal dari fungsi y = 1/x dan y = 1/x². Secara umum,
Asimtot Horizontal
Diberikan sebuah konstanta k, garis y = k adalah asimtot horizontal dari fungsi V(x) apabila x bertambah tanpa batas, akan menimbulkan V(x) mendekati k: x → –∞, V(x) → k atau x → ∞, V(x) → k.
Pada gambar (a) di bawah ini menggambarkan garis asimtot horizontal pada y = 1, yang menunjukan grafik f(x) sebagai translasi grafik y = 1/x ke atas sejauh 1 satuan.
Gambar (b) menggambarkan garis asimtot horizontal pada y = –2, yang menunjukan grafik g(x) sebagai pergeseran grafik y = 1/x² ke bawah sejauh 2 satuan.

Contoh 2
Mendeskripsikan Sifat dari Ujung Grafik Fungsi Rasional
Berdasarkan gambar (b) di atas, pakailah notasi matematika guna:
- Mendeskripsikan sifat dari ujung grafik di atas.
- Mendeskripsikan apa yang berlangsung pada saat x mendekati nol.
Pembahasan
- Pada saat x → –∞, g(x) → –2. Ketika x → ∞, y → –2.
- Pada saat x → 0–, g(x) → ∞. Ketika x → 0+, y → ∞.
Dari contoh 2b di atas, maka dapat diketahi bahwasannya pada saat x mendekati nol, g akan berubah menjadi sangat besar serta semakin bertambah tidak terbatas.
Hal tersebut adalah indikasi dari sifat asimtot dalam arah vertikal.
Dan kemudian kita akan menyebut garis x = 0 adalah asimtot vertikal untuk g (x = 0 juga adalah asimtot vertikal untuk f). Secara umum,
Asimtot Vertikal
Diberikan sebuah konstanta h, garis x = h adalah asimtot vertikal untuk fungsi V apabila x mendekati h, V(x) akan bertambah atau berkurang tanpa batas: pada saat x → h+, V(x) → ±∞ atau pada saat x → h–, V(x) → ±∞.
Mengidentifikasi dari asimtot horizontal dan vertikal sangatlah bermanfaat.
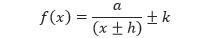
Sebab grafik y = 1/x dan y = 1/x² bisa ditransformasi dengan menggesernya ke arah vertikal maupun gorizontal. Fungsi,
![]()
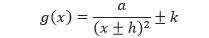
adalah bentuk pergeseran dari fungsi y = 1/x. Sementara untuk fungsi,
![]()
adalah bentuk pergeseran dari fungsi y = 1/x². Kemudian perhatikan contoh yang ada di bawah ini:
Contoh 3
Menuliskan Persamaan dari Fungsi Rasional
Identifikasi fungsi yang diberikan oleh grafik pada gambar di bawah, lalu pakailah grafik tersebut untuk menuliskan persamaan fungsi tersebut. Anggaplah |a| = 1.

Pembahasan dari grafik di atas, dapat kita ketahui bahwasannya grafik tersebut adalah pergeseran dari fungsi y = 1/x ke kanan sejauh 2 satuan. Serta bergeser ke bawah sejauh 1 satuan.
Sehingga asimtot horizontal serta vertikal dari grafik di atas secara berturut-turut yaitu y = –1 dan x = 2. Maka dari itu, persamaan dari grafik di atas yaitu:
![]()
yang mana adalah bentuk dari pergeseran fungsi y = 1/x.
Demikianlah ulasan singkat terkait Fungsi Rasional yang dapat kami sampaikan. Semoga ulasan di atas mengenai Fungsi Rasional dapat kalian jadikan sebagai bahan belajar kalian.
Satu pemikiran pada “Fungsi Rasional”